显示方式:
    2025,44(6):1-10 , DOI: 10.13300/j.cnki.hnlkxb.2025.06.001
    Abstract:
    Dark tea as a unique post-fermented tea in China is facing severe challenges in upgrading industry. The mechanism of forming the quality during the pile-fermentation process of dark tea was firstly elucidated from the perspective of chemical foundations and key driving factors to promote the high-quality development of the dark tea industry. Strategies for precise control were further thoroughly explored in response to the bottleneck of traditional methods of processing. Key breakthroughs in technology in the future including the integration of multi-omics, the construction of synthetic microbial communities, and the systems of intelligent processing are proposed. Deepening the application of microbial resources in the quality-oriented regulation, the avoidance of safety risk, and the development of functional product to construct a system of directed fermentation technology for specific quality, ultimately driving the dark tea industry towards a new stage of standardization and value-added development.
    2025,44(6):11-24 , DOI: 10.13300/j.cnki.hnlkxb.2025.06.002
    Abstract:
    The similarities and differences in the processes,the contributions of quality,and the synergistic mechanisms of three types of post-fermentation including wet-pile post-fermentation,dry-pile post-fermentation,and aged tea post-fermentation were systematically analyzed based on Mr.CHEN Chuan’s theory of “Three types of post-fermentation” as the core framework to address the long-standing controversy over the classification and positioning of Puer tea.The formation of quality in black tea following the full-chain of post-fermentation logic spanning from “ primary processing to reprocessing to storage” was revealed.It is explicitly stated that the primary processing of Dianqing tea essentially constitutes wet-pile post-fermentation aimed at producing dark tea.The raw Puer tea including the loose tea and the compressed tea is a type of black tea formed through gradual aging and post-fermentation on the basis mentioned above.The ripened Puer tea represents a model of synergistic interaction among the three types of post-fermentation.Therefore,both the raw and ripened Puer tea belong to the category of dark tea.Based on these findings,this article suggests revising the clause in the national standard GB/T 22111—2008 that restricts The raw Puer tea to compressed tea alone,removing the restriction clause on the form of “steamed and compressed”,and recognizing the legal status of the loose tea.It will provide a solid theoretical foundation and a clear practical pathway for unifying the logic of classifying dark tea,fundamentally solving the controversy over the categorization of Puer tea,and promoting the scientific revision of relevant national and international standards.
    2025,44(6):25-34 , DOI: 10.13300/j.cnki.hnlkxb.2025.06.003
    Abstract:
    The quality and antioxidative function of dark tea as a unique post-fermented tea in China depend on the transformation of active components mediated by microbial-inducing piled fermentation,and are regulated by the technology of fermentation and raw materials in synergy.This article systematically reviewed the functions and mechanisms of core microbial species during the process of fermentation in dark tea,analyzed the structural characteristics of antioxidants derived from fermentation,and elaborated in depth on the mechanisms of antioxidation regulated by signaling pathway.The directions of studies and application in the future were prospected as well.
    2025,44(6):35-45 , DOI: 10.13300/j.cnki.hnlkxb.2025.06.004
    Abstract:
    The unique quality and health benefits of ripened Puer tea stem from its microbial post -fermentation process. Phenolic compounds undergo significant transformation during this process to form the material basis for their flavor and functional characteristics. This article reviews the changes in phenolic compounds including catechins degraded by microbial extracellular enzymes and converted into gallic acid, theaflavins, and novel biologically active derivatives such as Puer catechins, carboxymethylated catechins, and Teadenol A through the oxidation, polymerization, cleavage, and other reactions during the fermentation process of ripened Puer tea to study the changes in phenolic compounds during the fermentation process of ripened Puer tea and analyze the mechanism of quality formation. The total amount of flavonoids remains stable, and the hydrolysis of glycoside in flavonoids releases quercetin and other aglycones. The composition of phenolic acids changes significantly, with an increase in the content of gallic acid and tannic acid further being metabolized into aroma-contributing compounds like methoxybenzenes. Furthermore, theaflavins and thearubigins formed during fermentation are subsequently converted into theabrownins via enzymatic polymerization and complexation with non-phenolic components such as polysaccharides and proteins. These transformations underpin the characteristic reddish-brown infusion color, mellow taste, and distinctively aged flavor of ripened Puer tea and are closely associated with its health benefits including the regulation of gut microbiota, antioxidant activity, and metabolic modulation. Studies in the future should integrate multi-omics to deeply analyze the interactions between microorganisms and phenolic metabolism, accurately identify the structure-activity relationships of key bioactive derivatives to comprehensively elucidate the quality formation and functional characteristics of ripened Puer tea.
    2025,44(6):46-58 , DOI: 10.13300/j.cnki.hnlkxb.2025.06.005
    Abstract:
    People’s requirements for aroma and taste when drinking tea are gradually increasing with the increasing output value and consumption demand of tea industry in China.Puer ripe tea belongs to the black tea category, and its unique “stale” aroma and “mellow and sweet” taste is highly favored by consumers.This article systematically introduced the characteristics of quality and evaluation methods of sun-dried green tea, raw Puer tea and ripened Puer tea.The achievements of studying the aroma components of Puer tea were summarized by reviewing relevant literatures.The key aroma components of Puer tea were reviewed from six major categories including 20 kinds of alcohols, 14 kinds of aldehydes, 8 kinds of hydrocarbons, 8 kinds ofesters and lactones, 13 kinds of ketones and 8 kinds of hetero oxygen.The main taste components of Puer tea were analyzed from four dimensions including polyphenols (bitterness and astringency), caffeine (contributing bitterness), free amino acids (presenting umami) and soluble tea polysaccharides (giving sweetness).However, the lack of selective extraction of aroma pretreatment technology and separation and identification of small molecule compounds in taste was the main bottleneck restricting the deep analysis of flavor in Puer tea.Studies in the future need to integrate manual evaluation with molecular sensory science, and collaboratively optimize techniques of pretreatment and separation and identification to provide technical support for systematically evaluating the quality of Puer tea and accurately analyzing its aroma and taste.
    2025,44(6):59-66 , DOI: 10.13300/j.cnki.hnlkxb.2025.06.006
    Abstract:
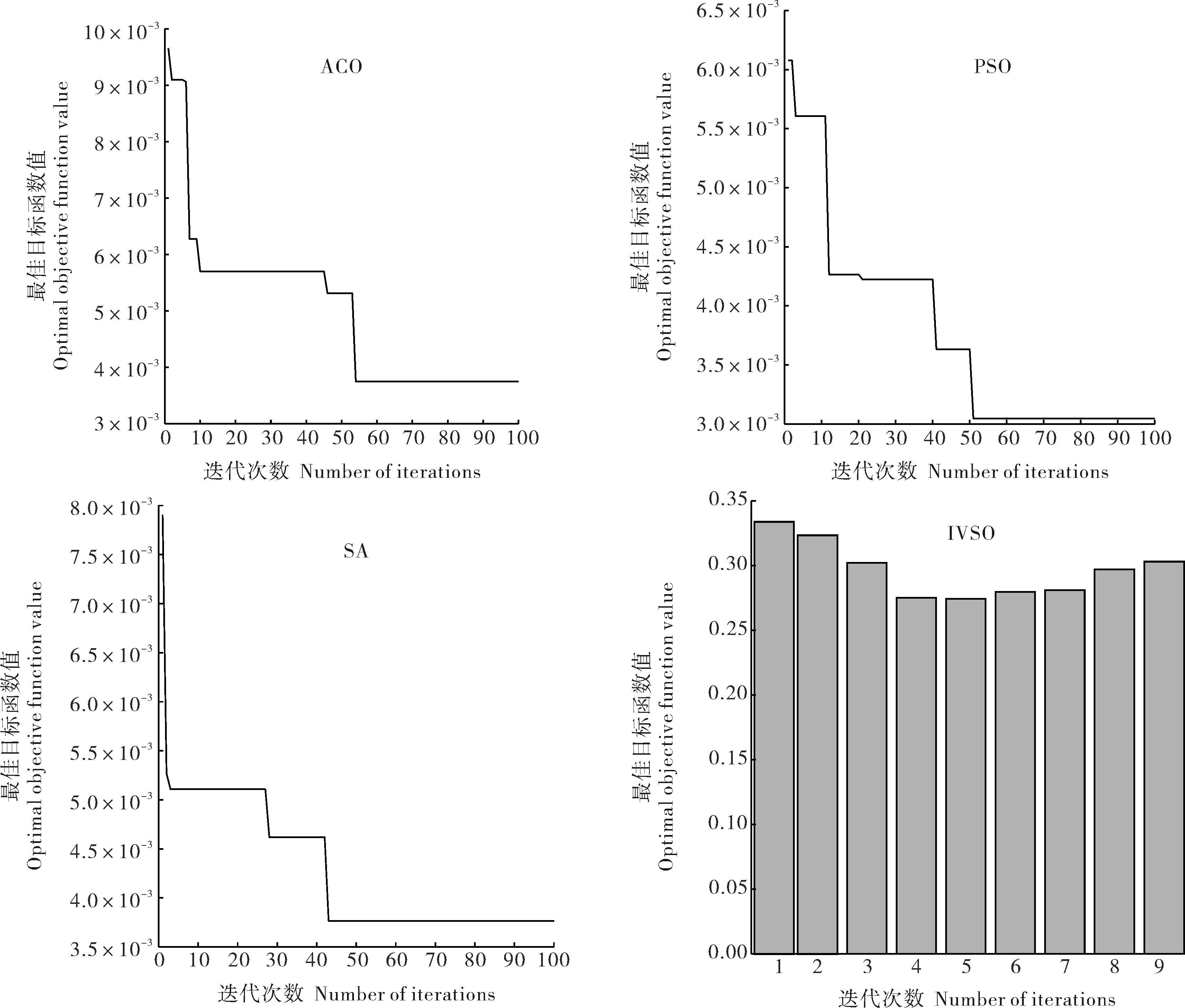
    A rapid identification method for geographical traceability of dark tea based on the miniature near-infrared spectroscopy combined with chemometrics was proposed to provide transparent and reliable traceability information about the areas of producing dark tea, standardize the order of tea market and protect rights of consumers. The miniature near-infrared spectrometer was used to collect spectral information in situ of dark tea including the An-tea in Anhui Province, Tibetan tea in Ya'an City of Sichuan Province, Anhua dark tea in Hunan Province, and Chin-brick tea in Hubei Province. The simulated annealing algorithms, particle swarm optimization algorithms, ant colony optimization(ACO) algorithm, and iterative variable set optimization method combined with linear discriminant analysis and extreme learning machine(ELM) method were used to construct a geographical traceability classification model for dark tea. The results showed that the accuracy of the ELM prediction model based on the 10 characteristic wavelength information related to the geographical traceability of dark tea extracted with ACO was 97.5%. It is indicated that the combination of the miniature near-infrared spectroscopy and chemometric methods has good practical value for the geographical traceability of dark tea from major production areas in China.
    2025,44(6):67-78 , DOI: 10.13300/j.cnki.hnlkxb.2025.06.007
    Abstract:
    Fresh leaves from ‘Subei Zhong’ were used to make Fuzhuan brick tea and white brick tea to analyze the mechanism of forming the characteristic “fungus aroma” in Fuzhuan brick tea.Artificial inoculation with Eurotium cristatum was conducted under two conditions including monofungus fermentation by artificial inoculation (inoculated only with E. cristatum) and traditional fermentation.Metabolomics was used to analyze the dynamic changes in key aroma compounds associated with the characteristic “fungus aroma”.The gene expression profile of E. cristatum during the process of monofungus fermentation was further studied by combining with transcriptomics.The results of analysis with metabolomics showed that the level of (EE)-2, 4-heptadienal (EE)-2,4-nonadienal,(EZ)-2,6-nonadienal and other key alkenal compounds that contribute to the formation of fungal aroma in Fuzhuan brick tea was significantly higher than that in white brick tea.The content of alkenal compounds significantly increased at the later stage of traditional fermentation, while the content of unsaturated fatty acids, the precursor substances of alkenal compounds, increased at the later stage of monofungus fermentation.The reason may be that the metabolic pathway for producing alkenal compounds is inhibited during the process of fermentation.The results of sequencing transcriptome showed that more than 96% of clean reads were identified in the genome of E. cristatum, with an average of 94% of the genes having unique locations in the genome.The results of annotation analysis showed that fatty acid-related genes serving as carbon sources for E. cristatum were enriched in the linoleic acid and alpha-linolenic acid metabolic pathways, and the linoleic acid metabolic pathway was annotated into two lipoxygenases.The lipoxygenase corresponding to the alpha-linolenic acid metabolic pathway was not annotated.Fatty acid consumption was reduced, leading to their accumulation during the process of fermentation with E. cristatum.Moreover, the alpha-linolenic acid metabolic pathway in E. cristatum was not annotated with lipoxygenase, indicating that this fungus cannot produce di-unsaturated aldehydes via the lipoxygenase oxidation pathway.This explain why the level of (E,E)-2,4-heptadienal and (E,E)-2,4-nonadienal in the tea of monofungus fermentation was significantly lower than that in traditionally fermented tea.Therefore, monofungus fermentation alone fails to develop the characteristic “fungus aroma”.There may be signal transmission and substance exchange among other microorganisms in the complex environment of traditional fermentation, which work together to ferment and convert unsaturated fatty acids into volatile alkenal compounds by E. cristatum.It is indicated that the formation of characteristic “fungus aroma” is achieved through the synergistic fermentation of the basic aroma of raw dark tea and the microbial community mainly composed of E. cristatum.
    2025,44(6):79-86 , DOI: 10.13300/j.cnki.hnlkxb.2025.06.008
    Abstract:
    To explore the role of the UDP-glucosyltransferase EcUGT88E3 of Eurotium cristatum in regulating glycosylation of flavonoids, the EcUGT88E3 gene was cloned with homologous sequence cloning method and analyzed with bioinformatics. The pET28a-EcUGT88E3/BL21(DE3) expression system was constructed and the induction conditions were optimized to achieve heterologous expression and purification of the EcUGT88E3 gene. Results showed that the full-length EcUGT88E3 gene was 1 704 bp, with a 75 bp of 5′-UTR, 207 bp of 3′-UTR. The complete open reading frame (ORF) was 1 422 bp, encoding 473 amino acids. Bioinformatics predicted that the encoded protein is a hydrophobic protein with molecular weight of 52.03 ku. The prediction of protein structure indicated that EcUGT88E3 lacks signal peptide and transmembrane domain, and belongs to a microsomal-targeted protein containing GT1 and GT-B superfamily domains. The recombinant EcUGT88E3 protein was expressed as inclusion bodies, with a molecular weight consistent with that predicted. The optimal induction conditions for the pET28a-EcUGT88E3 prokaryotic expression vector in E. coli BL21 (DE3) were 27 ℃ and 0.2 mmol/L IPTG for 4 hours.
    2025,44(6):87-94 , DOI: 10.13300/j.cnki.hnlkxb.2025.06.009
    Abstract:
    C57BL/6 mice were used to study the antioxidant and health-care functions of Fuzhuan brick tea. Groups including blank control group(N), high-dose Fuzhuan brick tea gavage group(HF), CS exposure model group(CS), CS exposure + low-dose Fuzhuan brick tea gavage group(CSLF), CS exposure +medium dose Fuzhuan brick tea gavage group(CSMF), and CS exposure +high-dose Fuzhuan brick tea gavage group(CSHF) were set up. The effects of aqueous extracts from Fuzhuan brick tea on body weight, antioxidant enzymes in serum, and oxidative damage in lung tissues of mice induced by cigarette smoke were analyzed. The results showed that smoke exposure significantly reduced the body weight in mice(P≤0.05) compared with group N and HF. Moreover, the activity of antioxidant enzymes including CAT, GSH-Px, SOD in the serum of mice were significantly decreased(P≤0.05), with a significant increase in the level of oxidative stress indexes including TNF-α, MDA, ROS, IL-6, IL18 in lung tissues of mice(P≤0.05). Severe inflammatory reactions occurred in both the alveolar and bronchial areas. The body weight of mice administered with gavage of Fuzhuan brick tea increased. There were no significant differences in the level of CAT, MDA, and IL-18 between the CSLF group and the normal control group(P>0.05). There were no significant differences in the level of CAT and IL-6 between the CSMF group and the normal control group(P>0.05). No significant disparities were observed in the level of CAT, MPO, MDA, and IL-6 between the CSHF group and the normal control group(P>0.05). The sections of lung tissues in mice showed normalization of alveolar septa, significant reduction in microvascular congestion within the alveoli, and decreased inflammatory cells in the CSHF group. It is indicated that cigarette smoke exposure causes severe oxidative damage and inflammatory response in the lung tissues of mice, and the aqueous extracts from Fuzhuan brick tea have a certain effect on repairing cigarette smoke-induced damage of lung tissues in mice.
    2025,44(6):95-105 , DOI: 10.13300/j.cnki.hnlkxb.2025.06.010
    Abstract:
    Fresh leaves from summer-autumn tea were directionally fermented through artificial inoculation with Eurotium cristatum to increase the utilization efficiency of fresh leaves from summer-autumn tea trees and improve the quality of summer-autumn tea. The effects of different conditions including the content of water, the amount, temperature, and time of inoculation on the sensory quality and physicochemical components of tea fermented by Eurotium cristatum were studied. The results showed that the sensory quality of tea fermented by Eurotium cristatum was optimal with an inoculation amount of 1.5×10? CFU, water content of 30% in rolled leaves, fermentation temperature of 28 °C, and fermentation time of 8 days. The tea produced under these conditions exhibited vigorous growth of “golden flowers”,a rich and pure fungal aroma, a yellowish-orange and bright infusion, and a mellow and sweet-aftertaste flavor. The content of tea polyphenols, water extracts, soluble sugars, free amino acids, and theaflavins in fermented summer-autumn tea decreased to varying degrees, with reductions of 23.38%, 17.42%, 47.18%, 30.41%, and 9.30% compared with that in unfermented summer-autumn tea. The content of thearubigins and theaflavins significantly increased by 31.53% and 21.10%, respectively. It is indicated that the fermentation with Eurotium cristatum can significantly improve the quality of summer-autumn tea, which is helpful for the development and utilization of summer-autumn tea resources.
    2025,44(6):106-116 , DOI: 10.13300/j.cnki.hnlkxb.2025.06.011
    Abstract:
    The microorganisms in the samples of pile-fermented Tibetan tea were isolated and purified under the high temperature including 45 ℃ and 60 ℃ to study the effects of thermophilic bacteria on the formation of quality in Tibetan tea.7 thermophilic bacteria were obtained and identified as the genera HeyndrickxiaBrevibacillus,and Terribacillus with morphological and molecular biological methods.They were inoculated into green tea for the solid-state fermentation of single strain under the constant temperature.The results of evaluation showed that the aroma of each treated tea sample in the experiment varied from “chestnut aroma” to “aged aroma” and then to “stuffy taste” during the process of pile-fermentation.Thermophilic bacteria had a certain effect on the taste,resulting in the flavor changing from “strong” to “mellow” and then to “smooth” during the process of pile-fermentation,with a “smooth” and “refreshing” taste.The results of biochemical testing showed that the content of tea polyphenols had a trend of decreasing during the process of pile-fermentation.Bacillus subtilis and the high concentration of Bacillus subtilis contributed to the degradation of tea polyphenols,which may be the reason for the “smooth” taste.The content of free amino acids had a trend of first increasing and then decreasing,but mainly due to the effects of hot and humid.The content of soluble sugar had a trend of first increasing and then decreasing,and then increasing again.The total amount of catechins changed in line with the trend of tea polyphenols.The content of gallic acid in all treatments increased at the end of pile-fermentation,while the content of other components generally decreased.
    2025,44(6):117-126 , DOI: 10.13300/j.cnki.hnlkxb.2025.06.012
    Abstract:
    The microbial community in piles of Puer tea, soils from tea garden, and Qingzhuan brick tea was used as bacterial sources to be primarily screened with to tannic acid screening medium to realize the high-value utilization of summer-autumn tea resources and optimize the technology of fermenting dark tea.The rescreening was conducted by measuring the activity of tannase in tea fermented by candidate strains.The characteristics of sensory, components of quality, and antioxidant activity in solid-state fermented tea were analyzed.The targeted strain was identified through morphological observation and 26S rDNA sequence analysis.The results showed that 45 tannase-producing strains were obtained from the primarily screening, and 9 strains with higher activity of enzyme were selected to rescreen the fermented tea.Among them, strain MJ19 had the highest activity of tannase in fermented tea, reaching 21.12 U/g.The sensory quality of tea fermented with MJ19 has significantly improved compared with that in the control, presenting characteristics of sweet, floral, and ester aromas.Its antioxidant activity was significantly enhanced, with the scavenging rate of DPPH radical and ABTS radical, and the reducing ability of FRAP iron increased by 117.44%, 120.04%, and 116.60%, respectively.Meanwhile, the content of gallic acid (GA) in fermented tea increased by 430% compared to that in the control.It is indicated that the strain MJ19 obtained through screening can effectively enhance the activity of tannase during the fermentation of dark tea.Finally, it was identified to be the Debaryomyces prosopidis group, belonging to yeast, which can significantly improve the sensory quality and antioxidant activity of the fermented tea.It will provide excellent microbial resources and a theoretical foundation for the high-value development and utilization of summer-autumn tea resources.
    2025,44(6):127-134 , DOI: 10.13300/j.cnki.hnlkxb.2025.06.013
    Abstract:
    A microbial library of Qingzhuan brick tea with pile-fermentation was screened with neutral red-olive oil plate assays and an improved copper soap method to study the effects of lipase-producing strains on the content of fatty acids in the fermented tea and analyze the mechanism of forming flavor quality in Qingzhuan tea.17 strains of bacteria and 19 strains of fungi capable of producing lipase were screened from the microbial library of Qingzhuan tea.Among them, N8.11-20 strain had the highest activity of lipase (7.82 U/mL) and was identified as Pseudomonas aeruginosa.The results of optimizing the culture conditions for producing lipase with single factor experiments showed that the optimal culture conditions for the activity of lipase in N8.11-20 strain are an inoculation volume of 6% (V/V), a culture temperature of 34 ℃, an initial pH of 7.0, and a culture time of 72 hours.The content of oil in Laoqing tea fermented with N8.11-20 strain for 15 days increased from 12.22% to 15.37%, which increased the content of total fatty acid in the fermented tea.It is indicated that using lipase-producing strains to ferment dark tea can help improve the aroma quality of dark tea.
    2025,44(6):135-144 , DOI: 10.13300/j.cnki.hnlkxb.2025.06.014
    Abstract:
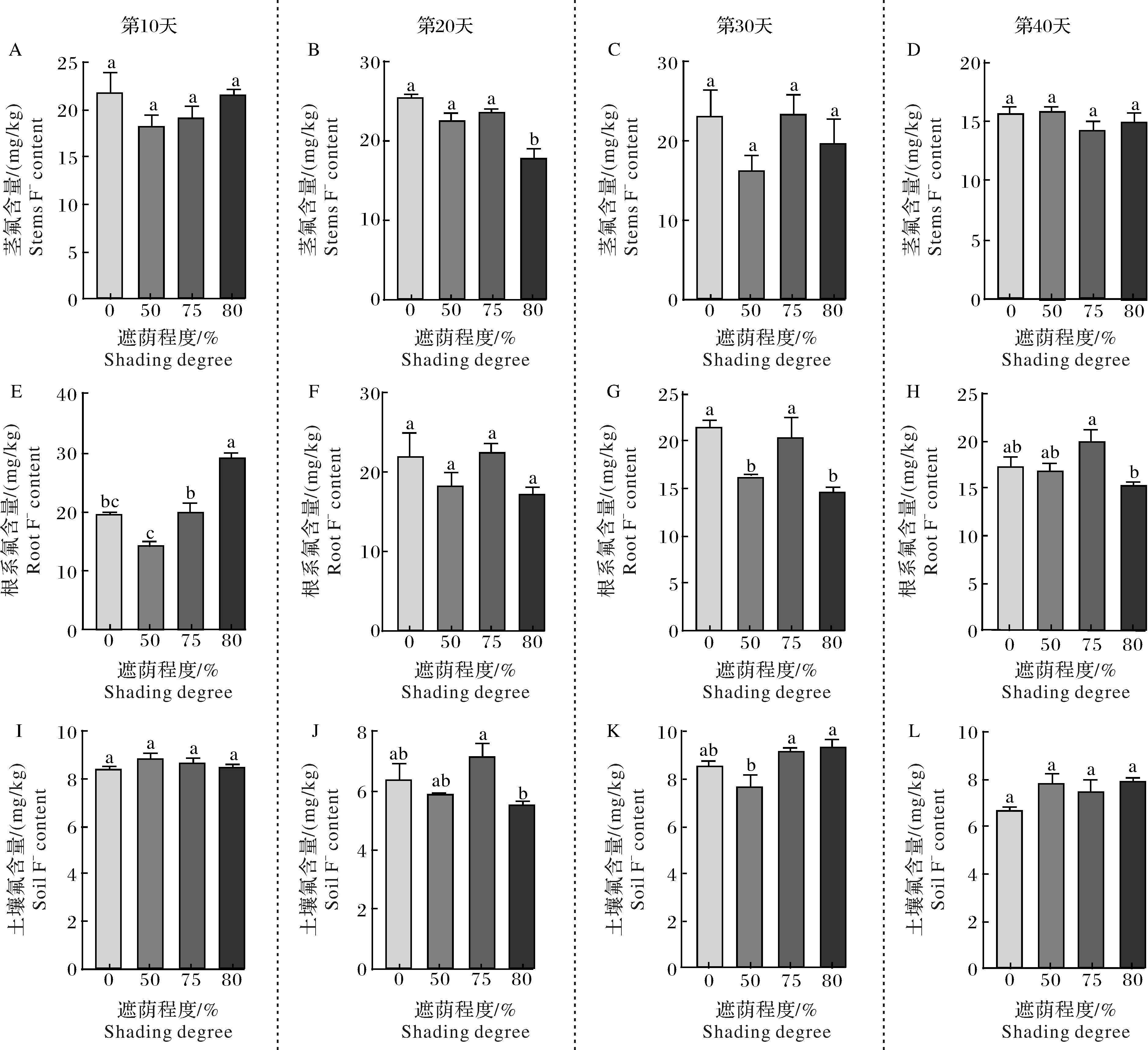
    The tea plant (Camellia sinensis) cultivar ‘Zhuyeqi' was subjected to four levels of artificial shading including 0%, 50%, 75%, and 80% to study the effects of different intensities and durations of artificial shading on the accumulation of water-soluble fluoride in tea plants during the summer and autumn seasons. Samples of soil in tea garden and various tissues including leaves, stems, roots of tea plants were collected on the 10th, 20th, 30th, and 40th day after treatment to determine the content of Ws-F. The results showed that artificial shading significantly promoted the accumulation of Ws-F in processed tea. The content of Ws-F in tea leaves with artificial shading increased significantly with the increase of the intensity of artificial shading compared with that in tea leaves without artificial shading. The balance of fluoride within the tea plants was disrupted when the intensity of artificial shading reached 80%. It was found from further analyses that the prolonged artificial shading may induce the transport of fluoride from young leaves to older leaves. It is indicated that artificial shading significantly increases the accumulation of Ws-F in summer-autumn tea, and there are complex interactions between the intensity and duration of artificial shading. It will provide valuable insights for the safe production of tea during the summer and autumn seasons.
    2025,44(6):145-155 , DOI: 10.13300/j.cnki.hnlkxb.2025.06.015
    Abstract:
    Rice-wheat rotation is one of the major rice farming systems in the middle and lower reaches of the Yangtze River. With the increase of water resource shortages and frequent droughts, the advantages of drought farmed rice have become increasingly prominent. 3 rice varieties including indica hybrid rice Hanyou 73(HY73), indica conventional rice Huanghuazhan(HHZ), and indica-japonica hybrid rice Yongyou 4949(YY4949) and 1 wheat variety Zhengmai 9023(ZM9023) were used to optimize the mode of rice-wheat rotation and improve the resource utilization efficiency. The conventional flooding irrigation (as control) and drought farming treatments were set up during the rice season to systematically study the effects of drought farming on the plant growth, yield, and resource use efficiency in both rice and wheat seasons. The results showed that the plant height, number of tillers, and leaf area of different rice varieties under drought farming during the rice season was significantly reduced, with a decrease of 6.8%-13.2%, 8.2%-35.7%, and 26.6%-44.7%, except for the number of tillers in YY73 at the stage of heading and flowering. Among them, HY73 had a higher leaf area and the smallest decrease, HHZ had the lowest leaf area and the largest decrease, and YY4949 had the smallest variation in number of tillers after drought farming. The actual yield of HY73, HHZ, and YY4949 decreased from 7.46 t/hm2 to 5.32 t/hm2, from 6.23 t/hm2 to 4.46 t/hm2, and from 7.60 t/hm2 to 5.27 t/hm2, respectively. The plant height, number of tillers, leaf area, second-top leaf length, leaf width, spikelet number, and spike length of subsequent wheat after drought-farmed rice was significantly higher than that of the control during some key stages of growth and development. The accumulation of dry matter and yield of subsequent wheat after drought-farmed rice was significantly increased, with a yield of 4.49 t/hm2, 7.7% higher than that of the control. The water use efficiency (WUE) and economic benefits of the rice season, wheat season, and annual period were significantly improved after drought farming during the rice season. The WUE of rice and wheat increased by 151.9% to 156.1%, and the annual economic benefits of rice and wheat increased by 8.7% to 34.8%. However, the nitrogen partial factor productivity, light energy utilization efficiency, and accumulated temperature utilization efficiency of rice-wheat rotation decreased by 14.4%-15.8%, 13.8%-16.7%, and 14.1%-15.8%, respectively. It is indicated that drought farming of rice (especially HY73) can achieve high economic benefits under the annual rice-wheat rotation system in Hubei Province. It will provide a theoretical basis for drought-cultivated rice in rice-wheat rotation systems.
    2025,44(6):156-166 , DOI: 10.13300/j.cnki.hnlkxb.2025.06.016
    Abstract:
    The cigar variety CX81 was used to study the material basis of nitrogen application rate affecting the sensory quality of cigar tobacco and analyze the flavor characteristics of cigar tobacco leaves in Hunan Province. 4 treatments of nitrogen application rate including N0 (0 kg/hm2, CK), N1 (180 kg/hm2), N2 (210 kg/hm2) and N3 (240 kg/hm2) were set up to determine the sensory quality and main chemical components of fermented tobacco leaves. The orthogonal partial least squares discriminant analysis (OPLS-DA) was used to screen key differential indexes and analyze their relationship with sensory quality. The results showed that the increase in nitrogen application rate enhanced the intensity of smoke, the rich and mellow degree, pollen aroma, and glutinous rice aroma of cigar tobacco. The content of total nitrogen, nicotine and browning reaction products in cigar tobacco leaves increased significantly with the increase of nitrogen application rate. The total amount of phenylalanine degradation products, carotenoid degradation products, the neophytadiene and neutral aroma substances increased first and then decreased, while the content of total sugar, reducing sugar, and cembranoid degradation products gradually decreased. There was no unique chemical component in cigar tobacco leaves under different nitrogen application rate, and the proportion of components with increased content of chemical components gradually increased with the increase of nitrogen application rate. 21 key differential components were screened, of which 7 were significantly positively correlated with sensory quality and 2 were significantly negatively correlated. It is indicated that increasing the application of nitrogen fertilizer can increase the total amount of neutral aroma substances (except for neophytadiene), thereby enhancing the sweetness and woody aroma of cigar tobacco. The intensity of smoke, the rich and mellow degree in smoke were further enhanced, and the pollen aroma and glutinous rice aroma were enriched by increasing the content of total nitrogen, nicotine, benzaldehyde, furfural, 3,4-dimethyl-2,5-furanedione, and browning reaction products, and reducing the mass fraction of reducing sugars.
    2025,44(6):167-175 , DOI: 10.13300/j.cnki.hnlkxb.2025.06.017
    Abstract:
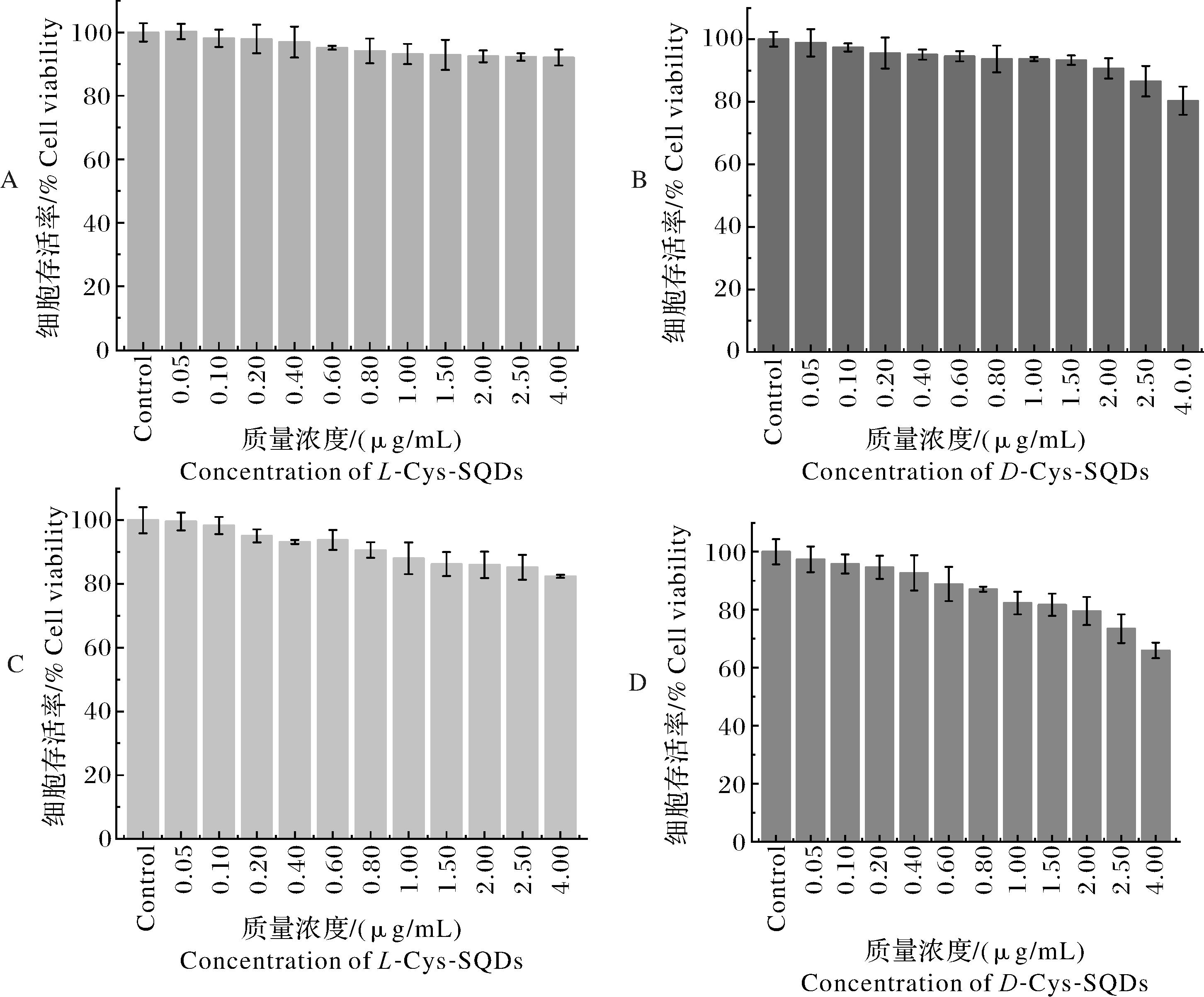
    Sulfur quantum dots(SQDs), as an emerging class of non-metallic quantum dots(QDs), have attracted much attention in the biomedical field due to their characteristics of unique biocompatibility and low cytotoxicity.However, there is still a lack of systematic studies on the interaction mechanism of their chiral surface properties with biological systems.This article successfully constructed enantiomeric SQDs(L-/D-Cys-SQDs) with mirror symmetry structure based on the chiral surface engineering strategy using L-cysteine(L-Cys) and D-cysteine(D-Cys) as chiral ligands.The results of circular dichroism(CD) analysis showed that the enantiomeric structures of L-Cys-SQDs and D-Cys-SQDs were identical.Cys-SQDs had positive and negative mirror symmetry signals at 200 nm, clarifying their differences in chiral conformation.Human breast cancer MCF-7 cells were used as a model to systematically evaluate the conformational relationship of SQDs.The results of MTT assay showed that the cell viability of the L-Cys-SQDs group after 48 h treatment with 4.0 mg/mL SQDs, was 80.4%, while that of the D-Cys-SQDs group was significantly reduced to 66.0%, indicating that the D-configuration SQDs enhance the toxicity.The results of flow quantitative analysis showed that the cellular uptake of D-Cys-SQDs was 12.1% lower than that of L-Cys-SQDs, indicating a negative correlation between the cell internalization efficiency and toxicity.The results of the DCFH-DA probe assay showed that the level of intracellular reactive oxygen species(ROS) was elevated in the cells induced by D-Cys-SQDs compared with that of L-Cys-SQDs.The “configuration-dependent toxicity” phenomenon of chiral SQDs was revealed and the phenomenon of low uptake-high bioeffects was found, breaking through the traditional cognitive framework of “positive uptake-toxicity correlation” of nanomaterials.The chiral surface engineering strategy established will provide a new idea to precisely regulate the biological effects of SQDs, with both expanding the potential of chiral nanomaterials in the diagnosis and treatment of diseases and laying the foundation for designing the functionalized QDs with low-toxicity.
    2025,44(6):176-185 , DOI: 10.13300/j.cnki.hnlkxb.2025.06.018
    Abstract:
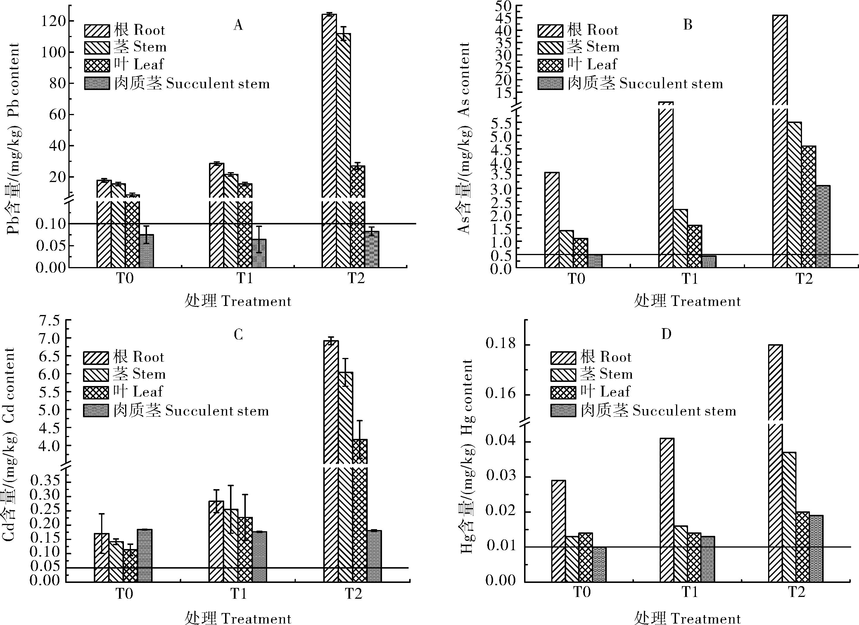
    Pot experiments were conducted to analyze the content of heavy metals in sediment and different organs of Zizania latifolia to systematically study the patterns of dissipation, the characteristics of enriching and transporting heavy metals including lead (Pb), arsenic (As), cadmium (Cd), and mercury (Hg) in the sediment-Z. latifolia system, and the effects of these heavy metals on the botanical traits of Z. latifolia and the nutritional quality of its succulent stems. The results showed that planting Z. latifolia significantly promoted the dissipation of Pb in sediments, with a dissipation rate 2.4 times higher than that in sediments without planting Z. latifolia. The distribution of heavy metals in the organs of Z latifolia followed the pattern of roots>stems>leaves>succulent stems. The content of Pb, As, Cd, and Hg in roots was 1 508 times, 148 times, 261 times, and 9 times higher than that in the succulent stems, respectively. The biological enrichment factor and transport coefficient of these four heavy metals in Z. latifolia was all less than 1, indicating that Z. latifolia has weak ability to enrich and transport heavy metals, but its ability to enrich and transport Cd and Pb is higher than that of As and Hg. The level of Pb in succulent stems remained below the food safety limit, while the level of Cd exceeded the food safety limit within the concentration range of low-dose heavy metal treatment. The content of As and Hg in edible stems was below food safety limit at low concentrations of environmental pollution, while high concentrations of environmental pollution led to excessive As and Hg in edible stems. Heavy metal stress significantly increased the content of flavonoids, vitamin C, titratable acids, and crude fiber in edible stems, but decreased the content of reducing sugars and soluble solids, resulting in a decrease in the tenderness and sugar-to-acid ratio of the succulent stems. It is indicated that Z. latifolia has potential for remediating Pb in sediments within the concentration range of 0-30 mg/kg, and its succulent stems meet food safety standards, achieving a win-win situation for ecological restoration and economic benefits. It will provide theoretical support for the “remediation-production”synergistic model in heavy metal contaminated sediment and has significant implications for promoting the sustainable development of agriculture.
    2025,44(6):186-194 , DOI: 10.13300/j.cnki.hnlkxb.2025.06.019
    Abstract:
    The Mesorhizobium huakuii 7653R (slow growing rhizobium) was revitalized to obtain strains AW-8 and AW-10 to study the synergistic effects of M. huakuii on planting Chinese milk vetch (Astragalus sinicus) in the field. The symbiotic nodulation and nitrogen-fixing capabilities of the strains obtained were verified with re-inoculation experiments. M. huakuii AW-8 was used as the core strain to compare the symbiotic phenotypes of four Mesorhizobium strains through a soil pot cultivation experiment. Results showed that the aboveground biomass, nodulation, and nitrogen-fixation indexes of M.huakuii AW-8-inoculated Chinese milk vetch were higher than those of the original strain AW7R-1, and AW-8, AB-21, and AZ-21 were identified as all elite strains. The aboveground biomass, nodule number, nodule weight, and the activity of nodule nitrogenase of the Xinzi No.1 variety of Chinese milk vetch inoculated with AW-8 increased by 41.3%, 87.8%, 34.2% and 6.3%, respectively. The results of comparing the inoculation effects of strain AW-8, AW7R-1, AB-21, and AZ-21 at urea nitrogen levels of 0 kg/667 m2, 3 kg/667 m2, and 6 kg/667 m2 showed that the content of nitrogen and the accumulation of total nitrogen in the above ground hay of Chinese milk vetch increased by 9.5% and 4.1% when urea nitrogen level of 3 kg/667 m2 was applied and AW-8 was inoculated, while the content of available phosphorus, available potassium, and organic matter in rhizosphere soil increased by 2.6%, 35.9%, and 0.5%, respectively. The results of comprehensive analyses showed that co-application of M. huakuii AW-8 inoculation and 3 kg/mu urea synergistically enhanced the accumulation of nitrogen and the total nitrogen in Chinese milk vetch plants, and improved nutrients in rhizosphere soil as well. It is indicated that the inoculation of M. huakuii AW-8 and the application of appropriate nitrogen fertilizer has a synergistic effect on planting Chinese milk vetch.
    2025,44(6):195-209 , DOI: 10.13300/j.cnki.hnlkxb.2025.06.020
    Abstract:
    Sweet cherry (Prunus avium L.) is an important economic fruit tree,and the quality of its flower bud is greatly affected by temperature.The characteristics of whole genome of the heat shock transcription factors (HSF) family in sweet cherry were identified,and the expression profiles of the HSF gene family members in different organs/tissues of sweet cherry and their responses under high and low temperature stresses were analyzed using qRT-PCR technology.The results showed that there were 17 HSF members in the genome of sweet cherry,named as in sequence from PavHSF1 to PavHSF17 based on the locations on chromosomes.All members of this family are hydrophilic proteins localized in the nucleus,and distributed on chromosomes except for the chromosome 6 and 8.There were low temperature and other stress responsive elements in the promoter region,indicating that PavHSF may be involved in the response to abiotic stress.PavHSF can be divided into 3 categories and 13 subtypes in evolution,with 2 pairs of collinear gene.The number of gene pairs collined with monocotyledonous plants is the least.The results of analyzing tissue-specific expression showed that PavHSF members had the highest level of expression in dormant flower buds and leaf buds,while PavHSF3 was highly expressed in all tissues of sweet cherry.The expression of PavHSF11PavHSF13PavHSF15 and PavHSF16 under the high temperature was significantly increased,indicating that they are main genes responding to the high temperature.The expression of PavHSF13PavHSF15 and PavHSF17 under the low temperature increased most significantly,indicating that they are transcription factors responding to the low temperature.It is indicated that PavHSF family is widely involved in the growth and development of sweet cherry,and closely related to the temperature stress.It will provide a basis for further cloning genes and studying functions of HSF family in sweet cherry.
    2025,44(6):210-221 , DOI: 10.13300/j.cnki.hnlkxb.2025.06.021
    Abstract:
    Rosaceae generally exhibit self-incompatibility, which affect both self-compatibility and cross-compatibility. 186 Rosa from the germplasm repository were used to study the self-compatibility and cross-compatibility in Rosa materials with different ploidy. The flow cytometry and the shoot tip chromosome counting methods were used to identify the ploidy and analyze the pollen germination rate, self-compatibility, and cross-compatibility in the Rosa with different ploidy. The results showed that there was 64 diploid Rosa among 186 Rosa, mainly including wild species and ancient roses. There was relatively few triploid Rosa, with only 21. There was 101 tetraploid Rosa, mainly including modern roses. The pollen germination rate of diploid and tetraploid Rosa ranged from 16.89% to 51.91% and 40.88% to 63.57%, with an average of 32.37% and 51.50%. However, the pollens of the triploid Rosa did not germinate at all. The results of further testing growth of pollen tubes of 53 self-pollinated Rosa and 12 hybrid pollinated Rosa showed that all 13 diploid Rosa exhibited self-incompatibility, with pollen tubes stagnating at 1/3 of the style; all 40 tetraploid Rosa were self-compatible, and the pollen tubes successfully entered the ovaries. The results of cross-pollination showed that the pollen tubes of hybrid combination with tetraploid as the male parent successfully entered the ovaries; some the pollen tubes of hybrid combinations with diploid as the paternal parent stagnated in the style. It is indicated that the tetraploid Rosa has good ability of pollen germination and strong compatibility for cross-pollination, making it highly usable in breeding hybrid Rosa.
    2025,44(6):222-230 , DOI: 10.13300/j.cnki.hnlkxb.2025.06.022
    Abstract:
    Sperms with high-quality in animals are the fundamental requirement for ensuring the breeding with high-quality and an important prerequisite for the completion of assisted reproductive technologies including artificial insemination and in vitro fertilization.Mitochondria in sperms,as important organelles inside sperm,are the energy metabolism center of sperm and participate in regulating processes including the hyperactivation and capacitation of sperms,the reaction of acrosome,etc.,thereby affecting the quality of sperm and the efficiency of fertilization in animals.Therefore,mitochondria in sperms are receiving more and more researches and attention.The quality of semen,artificial insemination,and in vitro fertilization may decrease due to the varying degrees of damage to mitochondria in sperms during in vitro storage.The reduction of mitochondrial damage or the enhancement of mitochondrial function during in vitro storage of sperms can maintain or improve the quality of sperm in vitro storage to meet needs for production with the in-depth study of mitochondria in sperms and the media for in vitro storage of sperms in recent years.This article reviewed the structural characteristics of mitochondria in sperms and the functions of mitochondria in sperms in regulating the quality of sperm through oxidative phosphorylation to produce adenosine triphosphate (ATP),reactive oxygen species (ROS),and maintaining the intracellular homeostasis of calcium (Ca2+) in sperm cells to regulate the quality of sperm and its mutual coupling.It will provide some ideas and directions for studying the mechanism of mitochondria in sperms in regulating the quality of sperm and optimizing the media for in vitro storage of semen.
    2025,44(6):231-240 , DOI: 10.13300/j.cnki.hnlkxb.2025.06.023
    Abstract:
    In order to explore the genetic diversity and structure of all-female yellow catfish (Tachysurus fulvidraco) population and to reveal their genetic differences from wild and cultured populations,this study focused on yellow catfish in Hubei Province. A total of 210 individuals were collected from 1 wild population (LH) and 6 cultured populations (WH,QJ,YX,JM,JZ,all being breeding parent populations) containing the all-female population (AF) in Hubei Province. Whole-genome resequencing was performed on these individuals,and the genetic diversity and genetic structure of the 7 populations were systematically analyzed. The results showed the following: In terms of genetic diversity,the nucleotide diversity (ND),average polymorphism information content (PIC),average observed heterozygosity (Ho),and expected heterozygosity (He) of the all-female populations were 0.000 5,0.046 9,0.052 5 and 0.046 9,respectively. the corresponding indices of the other cultured populations were 0.000 6,0.047 7,0.052 4,and 0.047 7,respectively,with no significant difference between the all-female population and the other cultured populations. However,the ND,PIC,Ho,and He of the wild populations were 0.001 7,0.178 4,0.197 4 and 0.178 4,respectively,which were significantly higher than those of the all-female population and other cultured populations. Further analysis of female individuals revealed that the ND, PIC, Ho, and He of the all female population showed no significant difference from the average values of the female individuals in other cultured populations (0.000 6, 0.047 3, 0.052 2, and 0.047 3, respectively), but both were much lower than those of the wild female population (0.004 1, 0.302 2, 0.508 3, and 0.352 3, respectively). Regarding genetic structure characteristics,the results of phylogenetic analysis and principal component analysis (PCA) revealed that some individuals in the all-female cultured population that had a close genetic relationship with the other 6 populations,and some individuals from the cultured populations and wild population also shared similar genetic backgrounds. In conclusion,the genetic diversity of the all-female was similar to that with the other cultured populations,and both were significantly lower than that of the wild populations,This suggests that in future yellow catfish breeding,targeted improvement of the genetic diversity of female parent populations is of great significance for ensuring germplasm quality and the sustainable development of the industry.
    2025,44(6):241-252 , DOI: 10.13300/j.cnki.hnlkxb.2025.06.024
    Abstract:
    To investigate the effects of tea polyphenols on deamination and glycolipid metabolism in Chinese perch,healthy and well-trained fish with an initial body weight of (35.40±1.90) g were intraperitoneally injected with different doses of tea polyphenol solution (0,25,50,and 100 mg/kg),designated as TP0 (blank control group),TP25,TP50,and TP100 groups,respectively. Metabolism-related indices in tissues and serum were measured at 6 h,12 h,24 h,and 48 h after injection. The results showed that,compared to the control group,serum levels of AST,ALT,and TP were significantly reduced in the tea polyphenol-injected groups,and the expression of the liver gdh gene was significantly downregulated after 48 h. Regarding glycolipid metabolism,blood glucose and liver glycogen levels decreased in all tea polyphenol-injected groups,while muscle glycogen content increased. The expression of key liver glycolysis enzyme genes (gkpk) was upregulated,whereas the expression of the gluconeogenesis-limiting enzyme gene (pepck) was downregulated. Additionally,the expression of fat synthesis genes (accαfassrebp1) was significantly reduced,while the expression of the fat transporter gene (cpt1) was significantly increased in all tea polyphenol-injected groups. Among these,the TP25 group exhibited significant reductions in serum levels of high-density lipoprotein (HDL),low-density lipoprotein (LDL),total cholesterol (TCHO),and triglyceride (TG). Furthermore,the expression of key genes in the AMPK signaling pathway (lkb1eef2) was significantly upregulated in all tea polyphenol-injected groups. In summary,the tea polyphenol injection group directly inhibited the expression of the gdh gene,thereby reducing amino acid deamination. It also decreased the demand for protein catabolism by activating glycolysis and lipolysis to supply energy,which alleviated the accumulation of liver lipids. Additionally,it inhibited gluconeogenesis through the AMPK signaling pathway,reducing amino acid consumption. The results of this study indicate that tea polyphenols regulate low ammonia emissions through multiple pathways,providing a theoretical basis for the development of efficient and healthy breeding practice in Chinese perch.
    2025,44(6):253-262 , DOI: 10.13300/j.cnki.hnlkxb.2025.06.025
    Abstract:
    To select optimal reference genes to improve the accuracy of qRT-PCR analysis results in the freshwater snail Bellamya purificata,ten commonly used reference genes,including actβ18Sgapdhef1αef1βrps3rpl4tubαtubβ and sdha were chosen as candidate genes,and geNorm,NormFinder,BestKeeper,ΔCt and RefFinder were used to assess their expression stability during the embryonic and larval stages,as well as across different tissues and between sexes in adult individuals.The results showed that,the expression stability of the candidate genes during the embryonic and larval stages was ranked as follows:gapdh>tubα>18S>ef1α>ef1β>rps3>actβ>tubβ>sdha>rpl4.In terms of inter-tissue expression stability between female and male individuals,the expression stability of the candidate genes were ranked as ef1β>tubα>rps3>ef1α>18S>actβ>gapdh>sdha>tubβ>rpl4 for females,and ef1α>rps3>ef1β>rpl4>tubα>actβ>18S>gapdh>tubβ>sdha for males,respectively.In terms of tissue expression stability between sexes,the ranking was as follows:ef1β>ef1α>rps3>tubα>18S>actβ>gapdh>rpl4>sdha>tubβ.Consequently,gapdh and tubα are recommended as reference genes for qRT-PCR analysis during the embryonic and larval stages,ef1β and tubα are suggested as reference genes for qRT-PCR analysis across female snail tissues,ef1α and rps3 are suggested as reference genes for qRT-PCR analysis across male snail tissues,while ef1α and ef1β are the most appropriate for qRT-PCR analysis between sexes in B.purificata.
    2025,44(6):263-272 , DOI: 10.13300/j.cnki.hnlkxb.2025.06.026
    Abstract:
    To identify the optimal dietary iron source for largemouth bass (Micropterus salmoides),juvenile fish with an initial body weight (IBW) of (8.60±0.04) g were fed four isonitrogenous,isolipidic,and isoiron diets containing different iron sources,namely,ferrous sulfate (FeSO?),ferrous methionine chelate (Fe-Met),ferrous glycine chelate (Fe-Gly),and ferrous compound amino acids chelate (Fe-CAA) for 10 weeks. The effects of these iron sources on growth performance,blood physiological and biochemical indices,and muscle quality were investigated. The results demonstrated that: (1) The final body weight of the Fe-CAA group[(52.31±0.44) g] was significantly higher than that of the other three groups (P<0.05). The condition factor (CF) in the FeSO? and Fe-Gly groups was significantly higher than that in the Fe-Met and Fe-CAA groups (P<0.05). (2) Serum biochemical parameters and antioxidant capacity were also influenced by the dietary source. High-density lipoprotein (HDL) levels in the FeSO?[(4.14±0.18) mmol/L] and Fe-CAA[(4.28±0.11) mmol/L] groups were significantly higher than in Fe-Gly group[(3.61±0.09) mmol/L] (P<0.05). Serum aspartate aminotransferase (AST) activity in the Fe-Gly group[(138.33±15.30) U/L] exceeded that of the FeSO? group[(104.00±4.04) U/L],while alanine aminotransferase (ALT) activity in the Fe-Met group[(15.00±4.58) U/L] was significantly higher than in the FeSO? group[(4.67±1.33) U/L] (P<0.05). The Fe-CAA group exhibited higher serum superoxide dismutase (SOD) activity[(117.48±2.79) U/mL] than the Fe-Gly and Fe-Met groups,and the lowest malondialdehyde (MDA) content[(21.30±1.06) mmol/mL] compared with the other groups (P<0.05). (3) Muscle SOD activity[(10.44±0.59) U/mg] in the Fe-CAA group was the highest among all groups,while MDA content[(4.93±0.20) nmol/mg] in the Fe-CAA group was lower than in the Fe-Met and Fe-Gly groups (P<0.05). Glutathione (GSH) and catalase (CAT) activities in the FeSO? and Fe-CAA groups exceeded those in the Fe-Met and Fe-Gly groups (P<0.05). Additionally,Fe-CAA exhibited a higher total antioxidant capacity[T-AOC,(1.79±0.04) mmol/L] than the Fe-Gly and Fe-Met groups (P<0.05). (4) Fe-CAA also showed significantly elevated trypsin activity[(1 116.62±138.90) U/mg] compared to the FeSO? and Fe-Met groups (P<0.05). In conclusion,Fe-CAA demonstrated advantages in enhancing growth performance and antioxidant capacity compared to the other three iron sources,which could be suggested as the first choice of iron source in largemouth bass diet.
    2025,44(6):273-282 , DOI: 10.13300/j.cnki.hnlkxb.2025.06.027
    Abstract:
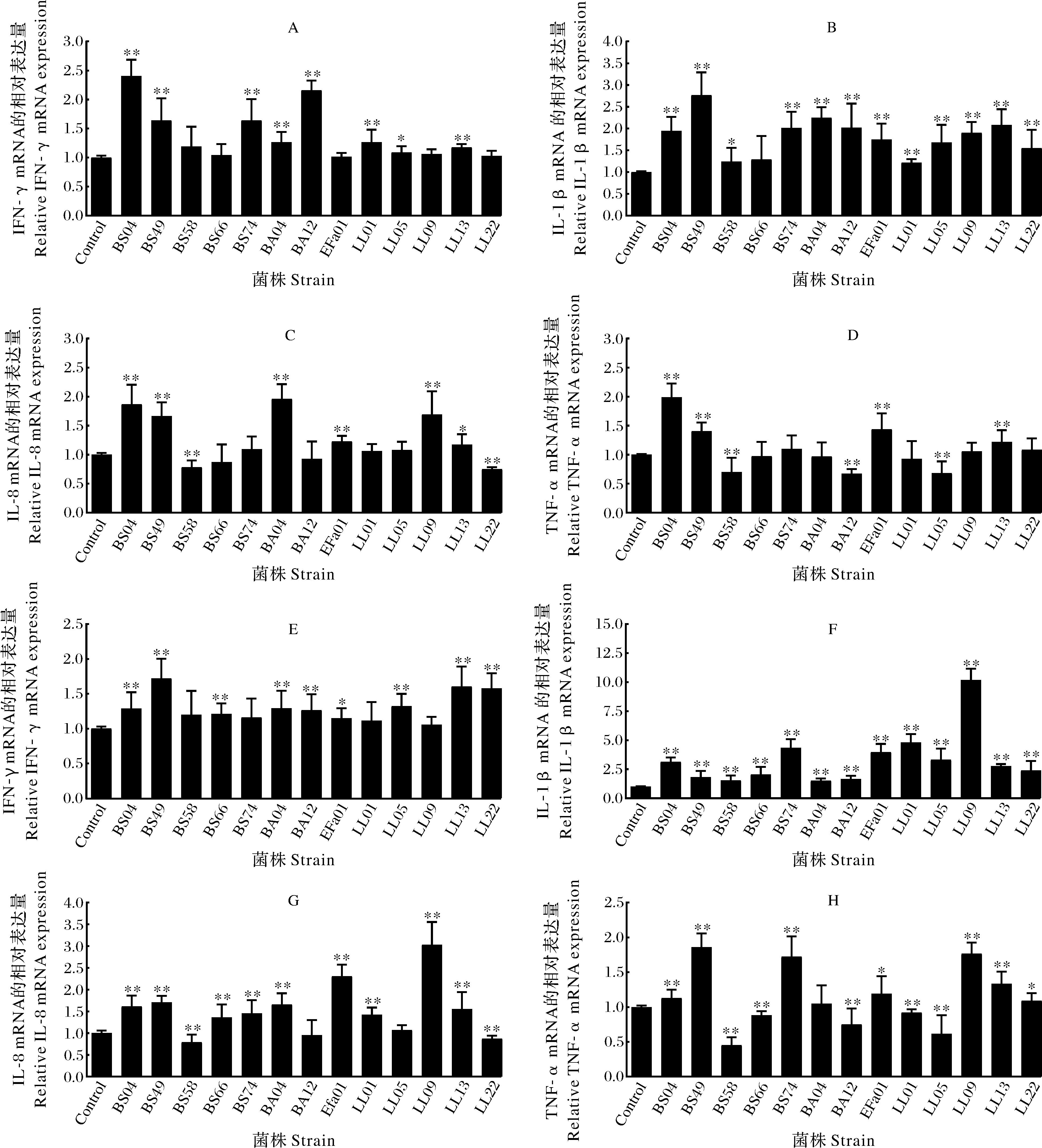
    To identify probiotics that promote the growth of largemouth bass and enhance their resistance to largemouth bass ranavirus (LMBV),this study isolated Bacillus and Lactobacillus strains from the intestines of largemouth bass.The strains were selected based on hemolysis tests,antimicrobial susceptibility tests,enzyme production,acid production experiments,as well as colonization experiments in the largemouth bass intestine .Finally,5 strains of Bacillus subtilis (BS04,BS49,BS58,BS66,and BS74),2 strains of Bacillus amyloliquefaciens (BA04 and BA12),1 strain of Enterococcus faecalis (Efa01),and 5 strains of Lactococcus lactis (LL01,LL05,LL09,LL13,and LL22) were incorporated into feed respectively and administered to largemouth bass for 30 days to evaluate their effects on growth performance and resistance to LMBV.The results showed that BS04,BS49,BS66,BS74,BA04,BA12,LL01,LL05,LL09,LL13,and LL22 significantly increased the percentage weight gain and specific growth rate of largemouth bass,while significantly reducing their feed conversion ratio.The expression of 4 immune factors (IFN-γIL-1βIL-8,and TNF-α) in the spleen and head kidney of largemouth bass in the BS04,BS49,and LL01 groups was significantly increased.The viral load in the spleen and head kidney of each experimental group was significantly reduced after the LMBV challenge,and the relative protection rate was higher than 20%,with the highest relative protection rate observed in the BS04 group at 55.1%.In conclusion,Bacillus subtilis BS04 isolated in this study can effectively improve the growth performance,immune response,and resistance to LMBV in largemouth bass,demonstrating its potential as a feed additive.
    2025,44(6):283-292 , DOI: 10.13300/j.cnki.hnlkxb.2025.06.028
    Abstract:
    The structure of the nr4a1 gene in zebrafish (Danio rerio) was characterized with bioinformatics and a nr4a1-/- zebrafish model was constructed with CRISPR-Cas9 genome editing to study in depth the mechanism of regulating the resistance to bacterial inflammation in fish. The expression dynamics of nr4a1, levels of inflammatory factors, bacterial clearance capacity, and histopathological changes in nr4a1-/- zebrafish and a nr4a1-overexpressing ZF4 cell line following by the infection with Aeromonas hydrophila were systematically evaluated with quantitative real-time PCR (qPCR), tissue bacterial load assessment, and pathological analysis to elucidate the role and mechanism of nr4a1 in A. hydrophila-induced hepatic inflammation in zebrafish. The results showed that the sequence of nr4a1 gene in zebrafish was highly conserved, with an open reading frame encoding a polypeptide of 574 amino acids. The predicted protein has an isoelectric point of 5.79 and a relative molecular mass of 63.04. The nr4a1 gene in zebrafish was widely expressed across various tissues. In nr4a1-/- zebrafish, a 7 bp deletion in the second exon resulted in premature termination of translation, truncating the encoded protein from 574 aa to 297 aa. The relative expression of nr4a1 in liver tissues of zebrafish initially decreased and then increased after the infection with A. hydrophila. Compared with wild-type zebrafish, nr4a1-/- mutants exhibited a lower survival rate, with a significantly higher bacterial loads and more severe hepatic pathological damage in liver tissues. The results of qPCR analysis showed that the expression level of inflammatory factors including il-1βtnf-αnf-κB and il-22v was significantly higher in nr4a1-/- zebrafish than that in wild-type controls. On the contrast, overexpression of nr4a1 in ZF4 cells significantly inhibited the infection-induced upregulation of these inflammatory factors. It is indicated that Nr4a1 acts as a negative regulator to inhibit the expression of pro-inflammatory factors, thereby playing a crucial role in protecting the immune inflammatory response to A. hydrophila infection in zebrafish.
    2025,44(6):293-304 , DOI: 10.13300/j.cnki.hnlkxb.2025.06.029
    Abstract:
    In order to investigate the ecological regulatory factors influencing Trichodina infection in yellow catfish larvae and juveniles, a population dynamics study of trichodinids was conducted at a yellow catfish seedling farm in Wuhan City, Hubei Province, from May to June 2023.We detected trichodinid infection in yellow catfish larvae and juveniles, identified trichodinid species using morphological and molecular methods, measured physicochemical water quality factors, and quantitatively analyzed plankton.Besides, the correlations between trichodinid infection and aquatic environmental factors were examined using Spearman correlation and redundancy analysis.The results indicated that the prevalence of trichodinid infection ranged from 26.7% to 93.0%, with infection intensity ranging from 1 to 21.Six trichodinid species were identified, including Trichodina hyperparasitis Chen & Hsieh, 1984.The water temperature in the yellow catfish seedling pond ranged from 23.0 ℃ to 31.5 ℃, Secchi disk depth ranged from 53.0 to 109.0 cm, pH ranged from 6.8 to 8.5, ammonia nitrogen concentration ranged from 0.1 to 1.3 mg/L, nitrite nitrogen concentration ranged from 0.003 to 0.020 mg/L.A total of 54 genera and 73 species of zooplankton were identified, with Conochilus unicornis as the dominant species.Zooplankton density ranged from 1 171.30 to 28 712.02 ind./L, biomass ranged from 0.54 to 14.97 mg/L, the Shannon-Wiener diversity index ranged from 0.56 to 1.32, the Pielou evenness index ranged from 0.22 to 0.49 and the Margalef richness index ranged from 2.31 to 4.28.A total of 59 genera and 131 species of phytoplankton have been identified, with Chlorella sp. as the dominant species.Phytoplankton density ranged from 1.88×105 to 5.61×106 ind./L, biomass ranged from 0.38 to 8.04 mg/L, the Shannon-Wiener diversity index ranged from 0.53 to 1.64, the Pielou evenness index ranged from 0.16 to 0.49 and the Margalef richness index ranged from 3.66 to 6.86.Besides, dissolved oxygen, ammonia nitrogen, nitrite nitrogen, feed quantity, rotifer biomass, protozoan biomass, Euglenophyta biomass, Cryptophyta biomass, Pyrrophyta biomass, zooplankton Shannon-Wiener diversity index, and phytoplankton Margalef richness index were the primary aquatic environmental factors.Among these, the ammonia nitrogen and rotifer biomass were the most pivotal factors.Therefore, in practical aquaculture production, the population density of trichodinids can be regulated by adjusting the aforementioned aquatic environmental factors.
    2025,44(6):305-313 , DOI: 10.13300/j.cnki.hnlkxb.2025.06.030
    Abstract:
    Black soldier flies(Hermetia illucens L.) were reared with a holidic medium to study the characteristics of nutritional requirements and key nutrient factors for the black soldier fly.The growth and development of black soldier flies were evaluated by controlling nitrogen sources,carbon sources,the ratio of carbon-to-nitrogen and ratio of larvae-to-dry feed.The results showed that the black soldier fly reared on the holidic medium had better growth performance with the larval survival rate of (84.38 ± 1.18)%,the larval duration of (29.04±0.43) d,the peak individual fresh mass of (119.03±1.82) mg,the pupation rate of (60.59±1.50)%,the pupal duration of (14.70±0.16) d,and the emergence rate of (80.20±3.65)%.The performance of holidic medium was better than that of Drosophila medium,although the enriched medium was superior in certain aspects.The results of comprehensively analyzing the fresh weight of individual larvae,the rate of feed reduction,and the bioconversion rate of larvae showed that amino acids were the optimal nitrogen source,glucose and starch were the optimal carbon sources,the most suitable ratio of carbon-to-nitrogen was 15,and the optimal ratio of larvae-to-dry feed was 1∶0.15.It is indicated that the holidic medium developed in this article can enable black soldier flies to complete its life cycle,achieving better growth performance under the conditions of using amino acids,glucose,starch as the optimal carbon sources,with the suitable ratio of carbon-to-nitrogen of 15 and the optimal ratio of larvae-to-dry feed of 1∶0.15.
    2025,44(6):314-322 , DOI: 10.13300/j.cnki.hnlkxb.2025.06.031
    Abstract:
    The role of ten-eleven translocation 2 (Tet2) in host defense against methicillin-resistant Staphylococcus aureus (MRSA) infection and its potential effects on the inflammatory response and autophagy in mouse skin were studied.Subcutaneous inoculation of MRSA was performed in C57BL/6J Wild-type (Tet2+/+) and Tet2 knockout (Tet2-/-) mice to establish a murine skin abscess model.The changes in lesions of mouse skin were monitored,the tissue bacterial loads were measured.The expression of inflammatory factors and autophagy related genes were detected.The result showed that Tet2-/- mice infected with MRSA had more severe damage in skin and higher tissue bacterial loads (P<0.01) compared with Tet2+/+ mice.Changes in severe histopathology including the thickened epidermis,the dermis with broken collagen fibers,sebaceous gland atrophy and numerous infiltrated extensive inflammatory cells were observed in MRSA-infected Tet2-/- mice.A large number of autophagosomal architectures were formed in MRSA-infected Tet2+/+ mice under examination with transmission electron microscopy,whereas they are rarely found in Tet2-/- mice.The result of Real-time quantitative PCR detection showed that Tet2 deficiency resulted in extremely significant up-regulation of pro-inflammatory mediators including IL-1 and TNF-α (P<0.01),alongside down-regulation of anti-inflammatory cytokines IL-10 (P<0.05) and TGF-β (P<0.001).Sqstm1 (p62) and Map1lc3b (LC3b) as two classical indicators for autophagy in Tet2-/- mice were elevated and decreased compared to that in Tet2+/+ mice (P<0.01) during MRSA-infection.The result of immunohistochemistry staining showed that there was extensive expression of p62 and decreased expression of LC3b in Tet2-deficient mice,indicating that Tet2 plays a protective role in MRSA-mediated skin injury by promoting autophagy,and its absence results in impaired autophagy and dysregulated inflammatory responses,ultimately leading to the exacerbated pathology of skin tissue in infected mice.
    2025,44(6):323-333 , DOI: 10.13300/j.cnki.hnlkxb.2025.06.032
    Abstract:
    A machine vision-based method for grading the quality and type of commercial potatoes was proposed to solve the problems of lowering the commodity value of commercial potatoes due to their mixed sales, time-consuming and laborious manual sorting, and low efficiency of grading. A potato image acquisition device was built to collect videos of potato, intercepting images of potato at equal intervals. The images of potato collected were corrected, and then image processing methods were used to obtain binarized images of potato. Edge detection was conducted on the binarized image of potato based on the quality characteristics of potato. Potato contour coordinate points were extracted and a three-dimensional model of potato was constructed. The volume prediction model of commercial potatoes was constructed with linear regression analysis, and the quality prediction model was obtained according to the density formula to grade the quality of commercial potatoes. Eight physical parameters including the length, width, aspect ratio, area, perimeter, roundness, eccentricity and convexity of the smallest outer rectangle of the potato area in the image were extracted based on the characteristics of potato type. The applicability of the principal component analysis(PCA) was judged with the KMO test and the Bartlett's test. PCA was used to downsize the matrix of the physical parameters. A prediction model for grading the type of potato was established by combining with the logistic regression analysis method to grade and detect deformities in commercial potatoes. An experiment of grading quality was conducted on 40 samples of potato with different sizes. 50 samples of potato were randomly selected for grading the type of commercial potato. The results showed that the accuracy of grading with the volume prediction model was 95%, 100%, and 95%, respectively. The accuracy of grading the type of commercial potato with prediction model for grading the type of commercial potato was 92% and 100%, respectively. It is indicated that the machine vision-based method for grading commercial potato proposed can be used for online detection of grading the quality and type of commercial potatoes.
    Display Method:
                                                                                                                   
    Abstract:
    The unique quality and health benefits of Fuzhuan brick tea primarily rely on the metabolic regulation by the "golden flower fungus" (Eurotium cristatum) during the "fahua" process. To deepen the understanding of their intrinsic connection, this review synthesizes the succession patterns and regional characteristics of the microbial community in Fuzhuan brick tea fermentation. It summarizes the mechanisms by which core microorganisms (e.g., E. cristatum, Bacillus spp.) regulate the transformation of tea components through enzymatic reactions (e.g., polyphenol oxidase, cellulase) and secondary metabolism (e.g., anthraquinones, polysaccharides): On one hand, they drive the oxidation of tea polyphenols and the synthesis of volatile compounds, shaping the characteristic "rich fungal aroma, bright reddish liquor color, and mellow taste" quality. On the other hand, their metabolites (e.g., Fu brick tea elements, tea polysaccharides) modulate the gut microbiota and inhibit oxidative stress, thereby exerting health effects such as anti-obesity and reduced metabolic disorder risks. This review provides a theoretical foundation for optimizing Fu brick tea quality and exploring the development of functional products based on "golden flower fungus" metabolites.
                                                                                                                   
    Abstract:
    Accurately detecting citrus pollen vitality is crucial for cultivating seedless citrus varieties and satisfying the demand for high-quality citrus products. Developing intelligent tools for this detection is therefore of great significance. In this study, we built a pollen vitality detection dataset through manual collection and labeling, addressing challenges such as the clustering, small size, and complex background of citrus pollen particles. To tackle the issues of imbalanced pollen samples and complex backgrounds in the dataset, we improved the YOLOv11 deep neural network, introducing the YOLOv11-FS model. During detection, we replaced the EIOU loss in YOLOv11 with the Focal EIOU loss function to boost performance on imbalanced samples and combined it with Soft NMS to enhance detection box accuracy. We also leveraged the backbone and neck networks of YOLOv11-FS to boost feature extraction and key pixel region recognition, improving small target detection accuracy. Experimental results showed that our improved YOLOv11-FS model performed outstandingly in pollen detection tasks, with a pollen vitality rate error of only 0.70%. For fertile pollen detection, the recall rate, accuracy rate, and F1 score reached 98.76%, 99.67%, and 99.22%, respectively, while for sterility pollen detection, these metrics were 94.87%, 98.89%, and 96.84%, respectively. These results met the basic requirements for pollen vitality detection and provided reliable support for seedless citrus breeding. This method offers technical support for pollen vitality detection and variety improvement in intelligent citrus orchard management and can also serve as a reference for pollen vitality detection in other plants.
                                                                                                                   
    Abstract:
    Climate change has intensified extreme heat events in China’s megacities, posing severe risks to public health. Parks, as key blue–green infrastructures, can alleviate urban heat, yet most assessments rely only on land surface temperature (LST), overlooking thermal comfort. Taking Shanghai as a case, this study introduces the Modified Temperature–Humidity Index (MTHI) and integrates park vector data with mobile phone signaling populations to evaluate cooling benefits from both temperature and comfort perspectives, with attention to urban–suburban differences. Results show: (1) suburban parks achieve broader LST cooling ranges, but high humidity reduces MTHI effectiveness; (2) park area, vegetation, and water coverage are positively correlated with cooling intensity, while vegetation coverage shows opposite correlations with cooling distance based on LST (positive) and MTHI (negative); (3) due to higher densities, core urban parks serve far more equivalent cooling populations than suburban parks, yet MTHI estimates are 54.5% lower than LST, indicating LST-based evaluations may overestimate benefits. The findings highlight the importance of incorporating thermal comfort metrics into park benefit assessments and suggest differentiated strategies: increasing small-scale parks in dense urban centers and optimizing suburban park design to enhance environmental thermal comfort.
                                                                                                                   
    Abstract:
    In order to explore the genetic diversity and structure of total female yellow catfish (Tachysurus fulvidraco) population, and compare the genetic differences between cultured and wild populations, this study studied the genetic diversity of all-female (AF), wild (LH) and other cultured populations (WH, QJ, YX, JM, JZ, etc.) of yellow catfish in Hubei Province. A total of 210 individuals from 7 populations of yellow catfish were sequenced and their genetic diversity and structure were compared. The results showed that nucleotide diversity (ND), average polymorphism information content (PIC), average observed heterozygosity (Ho) and expected heterozygosity (He) in all-female populations were 0.000 5, 0.046 9, 0.052 5 and 0.046 9, respectively. In wild populations, ND, PIC, Ho and He were 0.001 7, 0.178 4, 0.197 4 and 0.178 4, respectively, while in other cultured populations, they were 0.000 6, 0.047 7, 0.052 4 and 0.047 7, respectively. The ND, PIC, Ho and He of wild female population were 0.004 1, 0.302 2, 0.508 3 and 0.352 3, respectively, and the mean values of female population in cultured population were 0.000 6, 0.047 3, 0.052 2 and 0.047 3, respectively. The genetic diversity of the all-female population was not significantly different from that of the other five cultured populations, and was significantly lower than that of the wild population. The results of phylogenetic tree and principal component analysis (PCA) showed that there were individuals closely related to wild population and other cultured population, and some individuals from cultured population and wild population also had similar genetic backgrounds. These results indicate that the genetic diversity of whole female and cultured populations is close to each other, but lower than that of wild populations, suggesting that it is particularly important to improve the genetic diversity of female parents in future breeding.
                                                                                                                   
    Abstract:
    To investigate the effects of no-tillage mulching combined with organic and formula fertilizers on rapeseed yield and water-fertilizer use efficiency in the middle-lower Yangtze River region, a field plot experiment was conducted using Brassica napus cultivar 'Dadi 199'. Four treatments were established: T1 (conventional cultivation without fertilization), T2 (conventional cultivation with conventional fertilization), T3 (conventional cultivation with formula fertilizer), and T4 (no-tillage mulching combined with organic and formula fertilizers). The study analyzed the impacts of different treatments on photosynthetic parameters, yield components, nutrient accumulation, and water-fertilizer use efficiency. Results demonstrated that compared to T2 and T3, T4 enhanced net photosynthetic rate, SPAD value, leaf area, and water use efficiency, with statistically significant differences versus T2 (p <0.05). The 20.5% and 12.0% yield increases in T4 relative to T2 and T3 respectively were primarily achieved through improved siliques per plant, seeds per silique, and 1000-seed weight. Among all treatments, T4 showed the highest nitrogen, phosphorus, and potassium accumulation and nutrient proportion in seeds, though its P and K accumulation in roots, stems, and silique walls were lower than T2. The fertilizer contribution rate, agronomic efficiency, partial factor productivity, physiological efficiency, and water use efficiency all followed the order T4>T3>T2, with T4 exhibiting 16.5%, 53.1%, 31.2%, 48.7%, and 20.7% improvements over T2 respectively. All these differences between T4 and T2 were statistically significant except for fertilizer contribution rate. Although T3 showed better water-fertilizer use efficiency than T2, their differences were not significant. In conclusion, the no-tillage mulching combined with formula and organic fertilizers represents a promising cultivation model that can be promoted in the middle-lower Yangtze River region for achieving high yields of rapeseed and high efficiency of water and fertilizer utilization.
                                                                                                                   
    Abstract:
    Tobacco is an important economic crop. Tobacco mosaic virus (TMV) seriously affects the quality and yield of tobacco leaves. Spraying immune inducers is currently a new approach for preventing and controlling plant viral diseases. Treat tobacco with dipotassium glycyrrhizinate, diamine glycyrrhizinate, Gancao cream, sodium cholate, and aluminum reagent respectively; Administer TMV 24 hours later; Quantitative PCR and Western-blot detection will be performed 7 days later. The results showed that treating tobacco with 10 mg/mL sodium cholate could effectively inhibit the expression of TMV genes and the accumulation of CP. The optimal induction time is 24 hours. The induced resistance can last for 10 days. Moreover, sodium cholate treatment can promote the growth of tobacco seedlings. By analyzing the expression of genes related to the JA pathway, SA pathway, and ET pathway, it is inferred that sodium cholate induced TMV resistance is closely related to the JA signaling pathway.
                                                                                                                   
    Abstract:
    In order to address the issue of time-consuming and labour-intensive substrate filling operations for citrus seedling soft pots in China, a vibration filling scheme for such pots was proposed and a vibration filling production line designed, capable of filling 36 plastic soft pots or four non-woven fabric large pots at a time. Through theoretical analysis and simulation calculations, the structural design and param-eters of the key components of the substrate mixing and conveying unit, the filli
                                                                                                                   
    Abstract:
    In order to investigate the response of soil physical and chemical properties, tobacco growth and development, and tobacco leaf quality to different carbon source biochar, this study took tobacco Yunyan 87 as the research object, with conventional fertilization as the control (CK), and set up conventional fertilization+pyrolysis biochar (T1), conventional fertilization+plant-based biochar (T2), conventional fertilization+animal based biochar (T3), and conventional fertilization+mixed carbon source biochar (T4), respectively. Explore the effects of different carbon sources of biochar on the growth, development, and quality of tobacco in southern Anhui. The results showed that T2 treatment significantly increased the available phosphorus and potassium content in the soil by 21.14% and 15.14%, respectively. The optimal sugar alkali ratio and potassium chloride ratio for the coordination of chemical composition in tobacco leaves under T3 treatment were 13.22 and 3.03, respectively. However, based on the contribution rate of biochar to the yield and output value of tobacco, T4 treatment showed the best effect, increasing the output value per hectare by 23.60%. In production practice, the growth and development of tobacco and the quality of tobacco leaves can be regulated by selecting and adding suitable carbon source biochar, providing scientific basis for achieving high-quality and high-yield tobacco.
                                                                                                                   
    Abstract:
    To develop specialized starter cultures suitable for high-acid and high-ethanol environments, this study aimed to systematically screen lactic acid bacteria (LAB) with excellent stress tolerance and fermentation performance from sauce-flavor Baijiu distillers' grains. A tiered screening strategy was employed: initial isolation of acid-producing strains on bromocresol purple plates, followed by identification based on morphology, Gram staining, and 16S rRNA gene sequencing. The identified strains were then subjected to secondary screening for ethanol tolerance (5%–15%). The dominant strains were systematically evaluated for their acid tolerance (pH 2.0–6.0), temperature tolerance (20–60 ℃), in vitro safety (hemolytic activity and antibiotic susceptibility), and growth characteristics. Their practical application potential was finally assessed via solid-state fermentation experiments. Approximately 100 acid-producing isolates were obtained initially. After purification and identification, 24 strains were confirmed as LAB, belonging to five species: Pediococcus acidilactici, Pediococcus pentosaceus, Lactobacillus paracasei, Lentilactobacillus buchneri, and Lactobacillus acidophilus. At the critical ethanol concentration of 8%, the survival rates of strains such as P. acidilactici F8, L. paracasei F16, and L. buchneri F18 remained around 10%. Most strains maintained survival rates exceeding 60% after 2 h of exposure to pH 3.0–6.0. Temperature tolerance tests indicated optimal growth at 30–37 ℃. Safety assessments revealed that the four dominant strains exhibited no hemolytic activity and were susceptible to most tested antibiotics. In solid-state fermentation, L. paracasei F16 achieved a viable count of up to 7.33 × 10? CFU/g (wet weight) in a 70% distillers' grain medium after 48 h, which was significantly higher than that of other strains. This study successfully obtained three LAB strains possessing excellent acid and ethanol tolerance, temperature adaptability, safety, and efficient fermentation capacity. These findings provide core microbial resources and a technical basis for the high-value utilization of sauce-flavor Baijiu distillers' grains, thereby laying a foundation for developing fermentation starters for harsh environments.
                                                                                                                   
    Abstract:
    In order to screen for probiotics capable of promoting the growth of largemouth bass and enhancing their resistance to Largemouth Bass Ranavirus (LMBV), this study isolated Bacillus and Lactobacillus strains from the intestine of largemouth bass. The strains were selected through hemolysis tests, antimicrobial susceptibility tests, enzyme production, acid production experiments, as well as colonization experiments in the intestine of largemouth bass. Finally, 5 strains of Bacillus subtilis (BS04, BS49, BS58, BS66, and BS74), 2 strains of Bacillus amyloliquefaciens (BA04 and BA12), 1 strain of Enterococcus faecalis (Efa01), and 5 strains of Lactococcus lactis (LL01, LL05, LL09, LL13, and LL22) were added to feed respectively and fed to largemouth bass for 30 days to investigate their effects on growth performance and resistance to LMBV. The results showed that BS04, BS49, BS66, BS74, BA04, BA12, LL01, LL05, LL09, LL13, and LL22 significantly increased the percentage weight gain and specific growth rate of largemouth bass, while significantly reduced their feed conversion ratio. The expression of four immune factors (IFN-γ, IL-1β, IL-8, and TNF-α) in the spleen and head kidney of largemouth bass in the BS04, BS49, and LL01 groups were significantly increased. The viral load in the spleen and head kidney of each experimental group was significantly reduced after the LMBV challenge and the relative protection rate was higher than 20%, with the highest relative protection rate in the BS04 group of 55.1%. In conclusion, Bacillus subtilis BS04 isolated in this study can effectively improve the growth performance, immune response and anti-LMBV ability of largemouth bass, and has the potential to be used as a feed additive.
                                                                                                                   
    Abstract:
    To investigate the role of nr4a1 in the defense against Aeromonas hydrophila infection in fish, this study employed various techniques, such as bioinformatics, CRISPR-Cas9 gene editing, and quantitative real-time PCR (qPCR) to analyze the gene structure and expression pattern of nr4a1 in zebrafish (Danio rerio). Subsequently, we established an nr4a1 knockout zebrafish model and conducted in vitro overexpression experiments of nr4a1, revealing its critical role in the anti-infection process. The results showed that the zebrafish nr4a1 gene sequence is highly conserved, with an open reading frame encoding a polypeptide chain of 574 amino acids. The predicted protein has an isoelectric point of 5.79 and a relative molecular mass of 63.04. The zebrafish nr4a1 was widely expressed across various fish tissues. Besides, the nr4a1 mutant zebrafish exhibited a 7 bp deletion in the second exon, resulting in premature termination of translation and a truncated polypeptide chain, reducing its length from 574 to 297 amino acids. Following A. hydrophila infection, the relative expression of the nr4a1 in zebrafish liver tissues initially decreased and then increased. Compared to wild-type controls, nr4a1 knockout zebrafish exhibited a lower survival rate,a significantly higher bacterial loads in liver tissues, and more severe hepatic pathological damage. The expression levels of il-1β, tnf-α, nf-κB and il-22 were significantly elevated in nr4a1 knockout zebrafish compared to their wild-type counterparts. Additionally, overexpression of nr4a1 in the zebrafish ZF4 cell line significantly inhibited the upregulation of inflammatory factors induced by A. hydrophila infection, suggesting that this effect may be mediated through the NF-κB signaling pathway. These results indicate that Nr4a1 can suppress the expression of pro-inflammatory factors, thereby playing a crucial protective role in the immune inflammatory response of zebrafish to A. hydrophila infection.
                                                                                                                   
    Abstract:
    To investigate the effects of tea polyphenols on the deamination and glycolipid metabolism in Chinese perch, healthy and well-trained Chinese perch with an initial body weight of (35.40±1.90) g were intraperitoneally injected with different doses of tea polyphenol solution (0, 25, 50, and 100 mg/kg), designated as TP0(blank control group), TP25, TP50, and TP100 groups, respectively. The metabolism-related indexes of tissues and serum were measured at 6h, 12h, 24h, and 48h after injection. The results showed that, compared to the control group, serum levels of AST, ALT, and TP in the tea polyphenol-injected groups were significantly reduced, and the expression of the liver gdh gene was significantly downregulated after 48h. In terms of glycolipid metabolism, blood glucose and liver glycogen levels decreased in all tea polyphenol-injected groups, while myo-glycogen content increased. The expression of key liver glycolysis enzyme genes (gk, pk) was upregulated, whereas the expression of the gluconeogenesis-limiting enzyme gene(pepck)was downregulated. Additionally, the expression of fat synthesis genes (accα, fas, srebp1) was significantly reduced, while the expression of the fat transporter gene (cpt1) was significantly increased in all tea polyphenol-injected groups. Among these, the TP25 group exhibited significant reductions in serum levels of high-density lipoprotein (HDL), low-density lipoprotein (LDL), total cholesterol (TCHO), and triglycerides (TG). Furthermore, the expression of key genes in the AMPK signaling pathway (lkb1, eef2) was significantly upregulated in all tea polyphenol-injected groups. In summary, the tea polyphenol injection group directly inhibited the expression of gdh gene to reduce amino acid deamination; reduced the demand for protein catabolism by activating glycolysis and lipolysis for energy supply to alleviate the accumulation of liver lipids; and inhibited gluconeogenesis through the AMPK signaling pathway to reduce amino acid consumption. The results of this study indicate that tea polyphenols regulate low ammonia emission through multiple pathways, which provides a theoretical basis for the development of Chinese perch efficient and healthy breeding.
                                                                                                                   
    Abstract:
    (Objective:)This study aimed to explore key metabolites and metabolic pathways associated with the social genetic effects (SGE) of residual feed intake (RFI) in Duroc pigs at the intestinal metabolome level, providing a molecular-level explanation for the social genetic effects of feed efficiency.(Methods)The RFI-SGE values of 209 Duroc pigs were estimated, and 20 extreme individuals (10 highest and 10 lowest) were selected and divided into a high social genetic effect group (HRS) and a low social genetic effect group (LRS). Ultra-high-performance liquid chromatography coupled with high-resolution mass spectrometry (UPLC-Q Exactive) was employed to analyze the metabolomic profiles of ileal and cecal contents. Partial least squares-discriminant analysis (PLS-DA) was used to identify significant differential metabolites between HRS and LRS groups in the ileum and cecum. Kyoto Encyclopedia of Genes and Genomes (KEGG) enrichment analysis was performed to elucidate the major functional pathways involving these metabolites.(Results)LC-MS/MS analysis revealed 1,111 and 590 significantly differential metabolites in the ileum and cecum, respectively. Thirteen shared metabolites, including gamma-aminobutyric acid (GABA), were identified in both intestinal segments. KEGG enrichment analysis showed that ileal differential metabolites were primarily enriched in 26 pathways, such as alanine, aspartate, and glutamate metabolism; ABC transporters; and aminoacyl-tRNA biosynthesis. Cecal differential metabolites were mainly associated with 8 pathways, including tryptophan metabolism, biosynthesis of unsaturated fatty acids, and purine metabolism.(Conclusion)This intestinal metabolomics study demonstrated that the social genetic effects of RFI in Duroc pigs are significantly correlated with differential metabolites (e.g., GABA) and key metabolic pathways (e.g., amino acid metabolism, tryptophan metabolism). These findings offer novel insights into the metabolic mechanisms underlying the social genetic effects of feed efficiency.
                                                                                                                   
    Abstract:
    To investigate the formation mechanism of the characteristic ‘fungus aroma’ in Fu brick tea, Using the same fresh leaf raw material were used to produce both Fu brick tea and white brick tea. Artificial inoculation with Eurotium cristatum was performed under two conditions: monofungus fermentation by artificial inoculation (inoculated only with Eurotium cristatum) and traditional fermentation. Metabolomics was employed to analyze the dynamic changes of key aroma compounds associated with the " fungus aroma" note. Combined with transcriptomics, the gene expression profile of Eurotium cristatum during monofungus fermentation was further investigated. The results indicate that levels of key alkenal compounds, including (E,E)-2,4-heptadienal, (E,E)-2,4-nonadienal, and (E,Z)-2,6-nonadienal, in Fu brick tea are significantly higher than those in white tea bricks. The content of alkenal compounds significantly increases in the later stage of traditional fermentation, while the content of unsaturated fatty acids, the precursor substances of alkenal compounds, increases in the later stage of monofungus fermentation. The possible reason is that the metabolic pathway for generating alkenal compounds is inhibited during the flowering process. Transcriptome sequencing indicated that during the fermentation process with Eurotium cristatum, fatty acid consumption was reduced, leading to their accumulation. Moreover, the alpha-linolenic acid metabolic pathway in Eurotium cristatum was not annotated with lipoxygenase, suggesting that this fungus cannot generate di-unsaturated aldehydes via the lipoxygenase oxidation pathway. This may explain why the levels of (E,E)-2,4-heptadienal and (E,E)-2,4-nonadienal in monofungus fermentation tea were significantly lower than those in traditional fermentation. Consequently, monofungus fermentation alone fails to develop the characteristic fungal aroma. In the complex environment of traditional fermentation, will be signal transmission and material exchange among other microorganisms. They can convert the unsaturated fatty acids produced into alkenal compound by Eurotium Cristatum. Therefore, the formation of ‘fungus aroma’is achieved through the synergistic fermentation of the basic aroma of raw dark tea and the Eurotium Cristatum community.
                                                                                                                   
    Abstract:
    To investigate the effects of dietary supplementation of ferrous sulfate (FeSO4), ferrous methionine chelate (Fe-Met), ferrous glycine chelate (Fe-Gly), and ferrous compound amino acids chelate (Fe-CAA) on the growth performance, serum biochemicals, and muscle quality of largemouth bass (Micropterus salmoides), juvenile largemouth bass (8.60±0.04 g) were fed four isonitrogen and isolipidic experimental diets with different iron sources at the same iron content in the present study. They were fed for 10 weeks. The study showed that: (1) The final body weight of the Fe-CAA group was significantly higher than that of the other three groups (P < 0.05), and the condition factor of the FeSO4 group and the Fe-Gly group was significantly higher than that of the Fe-Met group and the Fe-CAA group (P < 0.05). (2) The serum HDL content was significantly higher in the FeSO4 and Fe-CAA groups than in the Fe-Gly group (P < 0.05); the serum AST activity was significantly higher in the Fe-Gly group than in the FeSO4 group, and the serum ALT activity was significantly higher in the Fe-Met group than in the FeSO4 group (P < 0.05); the serum SOD activity was significantly higher in the Fe-CAA group than in the Fe-Met and Fe-Gly group; and the serum MDA content was significantly lower in the Fe-CAA group than in the other three groups (P < 0.05). (3) Muscle SOD activity was significantly higher in the Fe-CAA group than in the other three groups, and MDA content was significantly lower than that in the Fe-Met group and Fe-Gly group (P < 0.05); GSH and CAT activities were significantly higher in the FeSO4 group and the Fe-CAA group than in the Fe-Met group and the Fe-Gly group (P < 0.05); Furthermore, the T-AOC in the Fe-CAA group was significantly higher than that in the Fe-Met group and the Fe-Gly group (P < 0.05). (4) The trypsin activity of the Fe-CAA group was significantly higher than that of the FeSO4 group and Fe-Met group (P < 0.05). In conclusion, compared with ferrous sulfate, ferrous methionine, and ferrous glycine, ferrous complex amino acid chelate has the advantage of improving final body weight and antioxidant capacity.
                                                                                                                   
    Abstract:
    The gene regulating flavonoid glycosylation modification in Eurotium cristatum (EcUGT88E3) was cloned and a prokaryotic expression vector was constructed for in vitro expression, which can provide a foundation for further functional validation.The homologous sequence cloning technique was used to clone the EcUGT88E3 gene. Following a bioinformatics analysis, an expression system comprising the pET28a-EcUGT88E3/BL21(DE3) was constructed and the induction conditions were optimised. Ultimately, this enabled the heterologous expression and purification of the EcUGT88E3 gene.Results indicate that the full-length EcUGT88E3 gene spans 1704 bp, including 75 bp of 5′-UTR, 207 bp of 3′-UTR, and 1422 bp open reading frame encoding 474 amino acids. Bioinformatics prediction suggests the encoded protein is hydrophobic with a relative molecular mass of 52.03 ku. Protein structure prediction indicates that EcUGT88E3 lacks signal peptide and transmembrane domain features, classifying it as a microsomal-targeted protein containing GT1 and GT-B superfamily domains. The recombinant EcUGT88E3 protein was expressed as inclusion bodies, with a molecular weight consistent with predictions. The optimal induction conditions for the pET28a-EcUGT88E3 prokaryotic expression vector in E. coli BL21 (DE3) were 27°C and 0.2 mmol/L IPTG for 4 hours.
                                                                                                                   
    Abstract:
    Soil organic carbon (SOC) is a crucial component of the global carbon cycle, playing a vital role in maintaining soil health, promoting plant growth, and regulating climate change. Owing to its efficiency and non-destructive nature, spectroscopic analysis has become an important method for rapid SOC determination. However, the mechanisms by which external environmental factors (e.g., illumination, atmospheric conditions) and sensor parameters (e.g., spectral and spatial resolution) influence SOC retrieval accuracy across different spectral data sources remain insufficiently understood. In this study, conducted in northeastern Inner Mongolia Autonomous Region, we collected 160 surface (0-20 cm) SOC samples and concurrently acquired proximal hyperspectral measurements (under indoor artificial illumination and outdoor sunlight), as well as spaceborne multispectral (Landsat-8, Sentinel-2) and hyperspectral (ZY1-02D) data. Random Forest (RF) and Support Vector Machine (SVM) algorithms were used to construct SOC retrieval models for each data source. By systematically comparing model performance, we analyzed how environmental factors and sensor parameters affect SOC retrieval accuracy. The results show that: (1) due to stable and controllable spectral signals, indoor artificial illumination yields slightly higher retrieval accuracy than outdoor sunlight, though the difference is small, indicating that natural light variability has a limited impact on SOC retrieval; (2) proximal hyperspectral data achieve significantly higher retrieval accuracy than satellite multispectral and hyperspectral data, primarily because satellite observations are affected by atmospheric scattering, water-vapor absorption, and mixed pixels; and (3) among satellite data, the hyperspectral ZY1-02D provides higher retrieval accuracy than multispectral sensors, while the improvement from Sentinel-2’s higher spatial resolution (10 m) over Landsat-8 (30 m) is limited, suggesting that spectral resolution contributes more to SOC retrieval accuracy than spatial resolution. Through a comprehensive comparison of multi-source spectral data combined with machine learning algorithms, this study elucidates the influence of environmental factors and sensor parameters on SOC retrieval accuracy and offers practical guidance for data selection in regional-scale SOC estimation and mapping.
                                                                                                                   
    Abstract:
    Vegetation Carbon Use Efficiency (CUE) and Water Use Efficiency (WUE) are key indicators for revealing the coupled processes of ecosystem carbon and water cycles. Based on MODIS remote sensing data from 2000 to 2020 and relying on the Google Earth Engine platform, combined with trend analysis, coefficient of variation, rescaled range (R/S) analysis, and partial correlation methods, this study explored the spatiotemporal evolution characteristics of vegetation CUE and WUE in the Huaihe River Ecological Economic Belt and their response mechanisms to climatic factors. The results showed that: (1) the annual mean values of CUE and WUE in the study area were 0.51 and 0.75 gC·m-2·mm-1, respectively. CUE exhibited a fluctuating downward trend overall, while WUE showed a fluctuating upward trend. Spatially, CUE presented a pattern of being higher in the east and lower in the west, while high-value areas of WUE were similar to those of CUE, and low-value areas were mainly distributed in the central-northern and central-southern parts; (2) trend analysis indicated that the proportion of areas with improved WUE (32.91%) was significantly higher than that of CUE (13.87%). R/S analysis predicted that in the future, 63.41% of the area would show a positive development trend for CUE, while the proportion of positive development areas for WUE was 36.43%; (3) climate factor response analysis revealed that CUE was negatively correlated with temperature and sunshine duration, but positively correlated with precipitation and soil moisture. In contrast, WUE was positively correlated with temperature, but negatively correlated with precipitation, sunshine duration, and soil moisture, with precipitation and temperature showing significant spatial heterogeneity in their effects. This study reveals the nonlinear response mechanisms of vegetation carbon and water use efficiency to climatic factors in the subtropical–warm temperate transition zone, providing theoretical support for regional ecological function optimization and the realization of the “dual carbon” goals.
                                                                                                                   
    Abstract:
    To address the severe challenges posed by soil structure degradation and nutrient loss to the ecological environment and food safety, while achieving high-value utilization of biogas slurry waste, this study explores the effects of biogas fertilizer application concentration and method on soil physical and chemical properties and soybean yield at a depth of 0-80 cm in a greenhouse cultivation setting. The biogas fertilizer application methods and concentration combinations include: applying organic fertilizer alone (TK1), applying high-concentration biogas slurry as base fertilizer combined with organic fertilizer as top dressing (TK2), applying high-concentration biogas slurry alone (TK3), applying biogas residue as base fertilizer combined with low-concentration biogas slurry as top dressing (TK4), applying biogas residue as base fertilizer combined with organic fertilizer as top dressing (TK5), and mixing biogas residue/organic fertilizer as base fertilizer combined with low-concentration biogas slurry as top dressing (TK6), with a blank control group (CK) as the reference. The results show that compared to the control group, the application of biogas fertilizers effectively increases soil nutrient content, including total nitrogen, total potassium, alkaline hydrolyzable nitrogen, available phosphorus, and available potassium. The treatment with the highest increase in alkaline hydrolyzable nitrogen and available phosphorus in the topsoil was TK6, with an increase of 3.56 and 2.44 times, respectively. The treatment with the highest increase in available potassium in the topsoil was TK3, with an increase of 9.37 times. In the deeper soil layers, the application of high-concentration biogas slurry leads to greater downward migration of total nitrogen and total potassium, while low-concentration biogas slurry causes more downward migration of total phosphorus. On the other hand, soil aggregate structure is significantly affected by different fertilization treatments. The TK1 treatment significantly increased the number of small aggregates in the soil by 25.2%, while the TK3 treatment increased the number of medium and large aggregates by 1.68%. Compared to other treatments, the TK1 treatment resulted in the greatest nitrogen loss from the soil and the lowest soybean yield, while the TK4 treatment resulted in the highest soybean yield, approximately 290 kg/acre. In summary, applying high-concentration biogas slurry leads to the greatest increase in nutrient content in the topsoil, but these nutrients are more easily leached downward. Low-concentration biogas slurry as top dressing is more beneficial for increasing soybean yield. These findings provide theoretical and research foundations for soil improvement and the high-value utilization of biogas slurry resources.
                                                                                                                   
    Abstract:
    To analyze the inhibitory effect of dihydrotanshinone I (DiⅠ) on porcine epidemic diarrhea virus (PEDV) in vitro, the cytotoxicity of DiⅠ on Vero and IPEC-J2 cells was first determined by CCK-8 assay, and the results showed no significant toxicity at the concentrations used in subsequent experiments. Subsequently, multiple methods, including quantitative RT-PCR, Western blot, indirect immunofluorescence, and virus titer assay, demonstrated that DiⅠ significantly inhibited PEDV gene expression and viral protein synthesis in a dose-dependent manner. Mechanistic studies revealed that DiⅠ effectively interfered with key stages of the PEDV life cycle, including viral entry, replication, and release. Comparison of different administration modes indicated that, except for pre-treatment, full-treatment, co-treatment, and post-treatment all effectively suppressed viral replication, suggesting the therapeutic potential of DiⅠ even after infection. Molecular docking method was used to evaluate the interaction between DiⅠ and PEDV Mpro. In conclusion, DiⅠ exhibits potent anti-PEDV activity and represents a promising candidate drug against PEDV.
                                                                                                                   
    Abstract:
    To investigate the relationship between the number of viable rhizobia Mesorhizobium huakuii cells inoculated and the nodule formation and nitrogen fixation in Astragalus sinicus, two inoculation methods—seed surface and root inoculations—were employed, using liquid bacterial agents as inoculants. Through a sterile sand-pot experiment system, the minimum number of rhizobia required for nodule formation and nitrogen fixation in A. sinicus was determined. The results showed that when seed surface inoculation was applied, a rhizobial concentration of 102 cfu/seed led to the greening of plant leaves. The fresh weight and height of the above-ground parts of the plants significantly increased compared to treatments with lower inoculation doses. Meanwhile, nitrogen-fixing nodules developed on the roots of the A. sinicus plants, demonstrating a positive growth-promoting effect. When plant root inoculation was conducted, a single A. sinicus plant required only an inoculation dose of 101 cfu/plant to initiate nodule formation and nitrogen fixation. Notably, regardless of the inoculation method used, when the inoculation dose reached 103 cfu/plant per A. sinicus plant, the nodule formation and nitrogen fixation as well as plant growth, were significantly better than those in the low-inoculation groups. Further increasing the inoculation dose resulted in a stabilization of the symbiotic nitrogen fixation phenotype. To fully ensure the nodule formation and nitrogen fixation of rhizobial inoculants after application in the field, and taking into account the economic effectiveness of inoculant application and the complexity of soil conditions, this study has determined that 103 cfu/plant is the minimum viable cells for inoculating A. sinicus with M. huakuii rhizobia.
                                                                                                                   
    Abstract:
    The Three Gorges Reservoir Area (TGRA) serves as a crucial ecological barrier in the upper reaches of the Yangtze River and represents a typical ecologically sensitive region. Studying the changing characteristics of urban ecological elements in the reservoir area is of significant importance for maintaining regional ecological security and implementing ecological restoration. Focusing on Zhongxian County, Chongqing Municipality, during the period 2000–2020, this study identifies ecological networks and habitat quality levels for three distinct periods using Morphological Spatial Pattern Analysis (MSPA), Circuit Theory, and the InVEST model. It explores the spatiotemporal evolution characteristics of the ecological spatial pattern in reservoir-region urban areas and proposes targeted optimization strategies for ecological conservation redlines. The results reveal that: (1) The overall ecological environment in Zhongxian County showed improvement trends over time. The number of ecological sources increased from 12 to 48, with their combined area expanding from 131.13 km2 to 351.03 km2. These sources exhibited a clustered distribution in the central region. Ecological corridors increased from 23 to 112. While corridor length initially rose from 191.55 km to 314.94 km, it subsequently fluctuated downward to 292.99 km. Spatially, corridors displayed a denser distribution in the north and east compared to the south and west. (2) The habitat quality indices for the three periods were 0.3311, 0.3841, and 0.3816, respectively, indicating an initial increase followed by a slight decline. Overall, habitat quality demonstrated improvement. Central areas rich in forest resources exhibited higher habitat quality, whereas areas along both banks of the Yangtze River and the central urban core showed poorer habitat quality. (3) A synergistic relationship exists between the spatial distribution and changes of ecological network elements and habitat quality levels, with land use structure changes exerting the most significant influence. (4) A zoned management strategy was implemented for ecological sources, alongside optimization of Ecological Protection Redline (EPR) boundaries. Following boundary adjustments, the designated EPR area covers 124.72 km2, while 125.57 km2 and 189.81 km2 were demarcated as compensation zones and reserve zones, respectively. The findings provide a scientific reference for advancing high-quality green development in urban-rural integration zones within the Three Gorges Reservoir Area under the Yangtze River Conservation Initiative.
                                                                                                                   
    Abstract:
    耕地是保障国家粮食安全的根基,评价和预测耕地景观的破碎化程度对于制定耕地保护政策、优化耕地空间布局具有重要的价值和意义。以2000-2020年安徽省县域单元为研究对象,在多源大数据支持下,综合运用土地利用变化分析模型、景观格局指数、地理探测器和PLUS模型等方法,系统分析安徽省耕地景观的时空演变特征、驱动机制及未来发展预测。结果表明:2000年以来安徽省耕地总面积持续减少,主要转化为建设用地;耕地景观破碎化在多因素交互作用下不断加剧,综合指数平均值持续升高,空间分布呈“北高南低”格局;基于2030年的安徽省耕地变化模拟预测发现,仅在保护情景下,耕地景观破碎化程度有所改善。未来安徽省需严格落实耕地保护政策,通过宏观调控土地利用和耕地占补平衡,实现安徽省耕地资源的可持续发展。
                                                                                                                   
    Abstract:
    In order to explore the mechanism of DNA methylation on gene expression regulation of loach Misgurnus anguillicaudatus, as well as other teleosts, the 5"-flanking sequence of DNA methyltransferase gene family dnmts in M. anguillicaudatus were cloned, and spatiotemporal expression of dnmts were analyzed. Obvious differences were observed in the subcellular localization and N-terminal regulatory domain, the regulatory domain of dnmt1 includes DMAP, PBD, CXXC and BAH conserved domains, while dnmt3s contain PWWP, ADD or CH domains, indicating that there is a large functional differentiation between dnmt1 and dnmt3s. And the aforementioned inference was further confirmed by the phylogenetic tree constructed based on amino acid sequence. Using hiTAIL-PCR method, the 5"-flanking sequence of each dnmt was cloned, and the typical function element TATA-box, as well as some binding sites of transcription factors related to embryonic development, growth and reproduction such as CREB、Egr-1、Pit-1 were predicted on the sequences. Expression levels of the 4 dnmts were dynamically changed and correlated with the developmental stages, for example, the dnmt1 was high expressed in the rapid cleavage stage from cleavage stage to blastocyst stage, while dnmt3aa and dnmt3ab were high expressed in the late embryonic stage of organ differentiation. In adult fish, dnmt1 was highly expressed in the gonads; dnmt3aa and dnmt3ab highly expressed in brain, while dnmt3b highly expressed in gonads and muscles. In addition, the expression of dnmts showed obvious sex dimorphism. For example, the expression levels of dnmt1 and dnmt3b in ovary were significantly higher than those in testis, while dnmt3aa and dnmt3ab were in opposite manner. Furthermore, dnmt3aa was expressed in both germ cells and somatic cells of the ovary, while dnmt3ab was only expressed in somatic cells. The results above all indicate that there is functional differentiation among dnmts members and they play important functions in the corresponding tissues.
                                                                                                                   
    Abstract:
    Pomelo is a fruit with high annual output and wide popularity in China. Currently, the pomelo processing industry is in a stage of rapid development, and the processing potential of pomelos is gradually being exploited. However, the step of adjusting pomelos to a uniform orientation in the processing flow still relies on costly and inefficient manual labor. To achieve fully automatic orientation adjustment of pomelos, reduce costs, increase efficiency, and liberate human labor, this paper proposes and designs an automatic orientation adjustment device for pomelos based on machine vision: images are collected through the cooperation of cameras and infrared sensors; the OpenCV library is used to write image processing programs to determine whether the pomelo needs to be adjusted; the shape is simplified and the adjustment parameters are calculated; the adjustment rod is controlled to contact the pomelo, and the pomelo completes the orientation adjustment through planar motion. Eventually, the pomelos leave the device with a uniform orientation. Through experiments on the common Shatian pomelo in South China, the results show that under the two working modes, the accuracy rate of initial posture recognition and the average success rate of orientation adjustment for Shatian pomelos are 93.3%, 82.6% and 96.7%, 85.1% respectively. The average operation time of the program for pomelo orientation adjustment in the parallel working mode is 5.14 seconds. The proposed pomelo orientation adjustment method not only helps to improve the working efficiency of the Shatian pomelo processing industry, but also has the potential to be applied to the orientation adjustment of other varieties of pomelos.
                                                                                                                   
    Abstract:
    Trichodinid is one of the most common parasites on yellow catfish larval and juveniles. The population dynamic of trichodinids is closely related to water environment. However, the intrinsic connection between trichodinids population and water environment is still unclear. In present study, an investigation of trichodinid population was carried out at a yellow catfish seedling farm in Wuhan City, Hubei Province from May to June 2023. We detected trichodinid infection of yellow catfish larval and juveniles, identified trichodinid species by morphological and molecular methods, measured water physicochemical factors and quantitatively analyzed plankton. Besides, the correlations between trichodinid infection and water environmental factors were studied by Spearman analysis and redundancy analysis. The results indicated that trichodinid infection prevalence ranged 26.7%~93.0% and infection intensity ranged 1~21. Six trichodinid species were identified including Trichodina hyperparasitis Chen & Hsieh, 1984. The water temperature in yellow catfish seedling pond is 23.0°C~31.5°C, Secchi disk is 53.0~109.0 cm, pH is 6.8~8.5, ammonia nitrogen is 0.1~1.3 mg/L, nitrite nitrogen is 0.003~0.020 mg/L. A total of 54 genera and 73 species of zooplankton have been discovered, with the main dominant species Conochilus unicornis. Zooplankton density is 1171.30~28712.02 ind./L, biomass is 0.54~14.97 mg/L, Shannon-Wiener diversity index is 0.56~1.32, Pielou evenness index is 0.22~0.49, Margalef richness index is 2.31~4.28. A total of 59 genera and 131 species of phytoplankton have been discovered, with the main dominant species Chlorella sp.. Phytoplankton density is 1.88×105~5.61×106 ind./L, biomass is 0.38~8.04 mg/L, Shannon-Wiener diversity index is 0.53~1.64, Pielou evenness index is 0.16~0.49, Margalef richness index is 3.66~6.86. Besides, dissolved oxygen, ammonia nitrogen, nitrite nitrogen, feed quantity, rotifers biomass, protozoa biomass, Euglenophyta biomass, Cryptophyta biomass, Pyrrophyta biomass, Zooplankton Shannon-Wiener diversity index and Phytoplankton Margalef richness index were the primary water environmental factors. Among all, the ammonia nitrogen and rotifers biomass were the pivotal factors. This study provided theoretical basis for ecological prevention and control of trichodiniasis.
                                                                                                                   
    Abstract:
    Lettuce (Lactuca sativa), as a globally important vegetable crop, mainly includes leaf types (such as lettuce and celtuce) and stem types (stem lettuce). China, being the world's largest lettuce producer, accounts for over 50% of the global total in terms of both cultivation area and yield. However, lettuce breeding in China faces challenges such as severe cultivar homogenization and synonymy issues, which significantly hinder the protection of new varieties and industry development. In this study, by comparing the genome sequences of lettuce cultivar Salinas and stem lettuce cultivar YL1, we systematically identified 23,898 potential insertion/deletion (InDel) loci across the whole genome. From these, 80 loci were selected for polymorphism validation, and the results showed that 42 InDel markers exhibited good polymorphism in six stem lettuce and six lettuce cultivars. Further analysis revealed that these markers have differential discriminative capabilities among different cultivar types: 14 markers were suitable for distinguishing heading lettuce cultivars, 17 markers were effective for stem lettuce cultivar identification, and 35 markers showed polymorphism in celtuce cultivars. Based on this marker system, we systematically analyzed 57 commercial cultivars (10 heading lettuce, 24 stem lettuce, and 23 leaf lettuce) with different market names. The results demonstrated that the 10 heading lettuce cultivars were classified into 8 groups, the 24 stem lettuce cultivars into 20 groups, and the 23 leaf lettuce cultivars into 12 groups, revealing genetic differences and synonymy among these varieties.The results not only provide efficient molecular marker tools for lettuce cultivar identification but also lay a crucial foundation for marker-assisted breeding and the formulation of new variety testing guidelines. This research holds significant practical value for promoting innovation and development in the lettuce seed industry.
                                                                                                                   
    Abstract:
    This study investigated the molecular mechanism of exogenous nitric oxide (NO) in enhancing lupin"s tolerance to saline-alkaline stress. Saline-alkaline stress was simulated using a 100 mmol/L NaHCO? and Na?CO? (1:1 ratio) solution, with sodium nitroprusside (SNP) as the exogenous NO donor. The experiment included seven treatments: blank control, saline-alkaline stress control, and five SNP concentrations (50–250 μmol/L). Key physiological indicators (soluble sugar content, sucrose synthase, and sucrose phosphate synthase activity) were measured, and transcriptome sequencing was performed on saline-alkaline-stressed and SNP-treated (optimal concentration) groups.Results showed that exogenous NO improved lupin"s salinity tolerance by increasing osmolyte (soluble sugar) content and enhancing key sucrose-synthesizing enzyme activities. Transcriptome analysis revealed upregulation of genes encoding β-furanofructokinase, sucrose synthase, and β-glucosidase, while genes for GDP-mannose 4,6-dehydratase and aldolase were downregulated. These changes optimized sugar metabolism efficiency under stress. Additionally, NO-regulated transcription factors (bHLH, WRKY, ERF, MYB, bZIP) were implicated in stress tolerance. The findings provide insights for breeding lupin varieties adapted to saline-alkaline soils.
                                                                                                                   
    Abstract:
    This study screened and validated functional endophytic bacterial strains from pepper roots with antagonistic activity against P. capsici, providing a sustainable microbial biocontrol strategy for safe pepper production. Antagonistic strains against Phytophthora blight were isolated and screened from chili pepper roots and reintroduced to R/S pepper cultivars via root irrigation. High-throughput sequencing and resistance gene expression analysis revealed their impact on bacterial communities in rhizosphere soil, roots, and stems, and their efficacy in Phytophthora plight suppression. Two endophytic bacterial strains isolated from resistant pepper (CM334) roots-P10 (Paenibacillus aurantiacus) and P29 (Bacillus velezensis)-exhibited plant growth-promoting traits (nitrogen fixation, phosphate solubilization, and potassium mobilization) along with significant antagonistic activity against P. capsici. Pot experiments demonstrated that root irrigation with functional strains differentially modified bacterial community composition across ecological niches in both resistant and susceptible pepper cultivars. Compared to P. capsici-only treatment (P), The P10+P. capsici (PP) and P29+P. capsici (BP) treatments significantly increased the relative abundance of Burkholderia-Caballeronia-Paraburkholderia (BCP) by 1.58-37.65 percentage points in rhizosphere soil, roots, and stems. This indicated that BCP, as a core bacterial genus induced by inoculation, played a vital biocontrol role against P. capsici in pepper. Moreover, the functional strains significantly upregulated resistance-related genes (CaPR1 and CaHY5) in pepper roots and enhanced defense enzyme activities (POD, PPO, PAL) in leaves of both susceptible and resistant cultivars. This study obtained two endophytic bacterial strains exhibiting effective antagonism against P. capsici, which provides both theoretical support and potential biocontrol resources for eco-friendly management and safe production of pepper crops.
                                                                                                                   
    Abstract:
    To investigate the differences in rhizosphere microbial communities between pepper varieties with varying capsaicin contents and identify potential functional microorganisms involved in capsaicin synthesis, we performed high-throughput sequencing analysis of rhizosphere soil microbial communities from high- and low-capsaicin varieties. LEfSe (LDA > 3.0, P<0.05) and Spearman correlation analyses revealed that high-capsaicin varieties significantly enriched bacterial phyla (Proteobacteria, Firmicutes, Bacteroidota) and genera (Bacillus, Sphingomonas, Castellaniella), alongside fungal taxa (Mortierellomycota, Mortierella, and Humicola.). Notably, the bacterial genus, Devosia displayed a significant positive correlation with capsaicin content. These enriched dominant bacterial and fungal phyla and genera in rhizosphere of high-capsaicin varieties are associated with nutrient cycling in literature, suggesting their potential to enhance nitrogen and phosphorus availability and indirectly promote capsaicin biosynthesis. Devosia may represent a key functional genus, though mechanistic role requires further investigation.
                                                                                                                   
    Abstract:
    Abstract This study investigated the influence of rootstock selection on fruit quality dynamics during ripening in 'Wuming Orah' mandarin, establishing scientific criteria for optimal harvest time and ripening regulation. Using fragrant citrus (Citrus × junos Siebold ex Tanaka) and (Poncirus trifoliata (L.) Raf) as rootstocks, fruit samples were collected at eight developmental stages (S1–S8) spanning the color-break period to full maturity. Key quality parameters were analyzed, including color index of fruit pericarp, total soluble solids (TSS), titratable acidity (TA), juice rate, and primary metabolite profiles at five critical stages. Transcriptomic analysis via RNA-Seq was performed at three pivotal stages, with qRT-PCR validation of key genes. Results demonstrated that P. trifoliata-grafted fruits exhibited accelerated pericarp coloration and enhanced redness during S1–S5. Compared to C. junos-grafted fruits, P. trifoliata conferred significantly higher juice yield (increase: 0.37%–11.64%), TSS content (elevation: 0.73%–1.00%), and TSS/TA ratio (increase: 0.32–3.41). Sensory evaluation revealed superior overall preference scores for P. trifoliata fruits (8.11 vs. 7.22). Primary metabolomics analysis indicated elevated sucrose, D-fructose, D-glucose, and myo-inositol levels in P. trifoliata-grafted fruits. No significant inter-rootstock differences in TA, TSS/TA, or sensory attributes were observed during S6–S8. Transcriptomic profiling identified 1,481 differentially expressed genes, predominantly enriched in carbohydrate metabolism, protein phosphorylation, and transcriptional regulation pathways. qRT-PCR confirmed the early upregulation of CsSUC1 (the key sucrose transporter gene) in P. trifoliata-grafted fruits, correlating with accelerated sugar accumulation. These findings indicate that the optimal harvest window for P. trifoliata-grafted Wuming Orah mandarin occurs in early January—approximately two weeks earlier than C. junos-grafted fruits (mid-January). The hastened maturation associated with P. trifoliata rootstock appears mechanistically linked to enhanced soluble sugar accumulation.
                                                                                                                   
    Abstract:
    To compare the fruit quality differences between the Sweet Orange (Citrus sinensis Osbeck) bud mutant “Hetaocheng (HTC)” and its wild type, the genetic relationship and fruit physiochemical properties were analyzed. The results prelimarily showed that “HTC” was a bud mutation of ‘Newhall’ navel orange, with a genetic similarity (based on the genome sequence speculation) as high as 96.6% and a similar phenology period. The average single fruit weight of “Hetaocheng” in the cultivation area of Wuhan was 90.11 g. which was significantly smaller than that of ‘Newhall’ (188.46 g), the soluble solids (TSS) was 10.63%, which was no difference from that of ‘Newhall’. The total carotenoid content of the peel of “HTC” was 309.96 ug/g DW, which was significantly lower than that of ‘Newhall’ (357.73 ug/g DW), and the total carotenoid content of the pulp was 31.57 ug/g DW, which was significantly higher than that of ‘Newhall’ (24.50 ug/g DW). And the contents of α-carotene, α-cryptoxanthin and lutein in the peel and pulp were significantly higher than that of ‘Newhall’. The above results indicated that the fruit size, peel hardness and carotenoid content in the peel bulged sweet orange mutant had all undergone significant changes compared with the wide type.
                                                                                                                   
    Abstract:
    Cassava common mosaic virus (CsCMV) is the primary causal agent of cassava mosaic disease. Its capsid protein (CP) plays a crucial role in virus-plant interactions during infection. Glutaredoxins (GRXs) are low molecular weight thiol oxidoreductases, among which CC-type GRXs are key regulators of plant disease resistance. Given that CP is a key pathogenicity factor of CsCMV involved in modulating host immune responses, this study investigated whether CsCMV CP interacts with MeGRXC3 (a CC-type GRX) to synergistically regulate redox homeostasis and thereby modulate viral infection. Using yeast two-hybrid (Y2H), bimolecular fluorescence complementation (BiFC), and subcellular localization assays, the interaction between CsCMV CP and MeGRXC3 was examined. Y2H results confirmed their interaction in yeast cells. BiFC assays, performed by co-expressing the corresponding vectors in Nicotiana benthamiana epidermal cells, revealed distinct green fluorescent signals upon 488 nm excitation, indicating interaction in planta. Furthermore, subcellular localization analysis demonstrated co-localization of CsCMV CP with MeGRXC3 in tobacco epidermal cells upon co-expression, providing additional evidence for their interaction. Collectively, these results demonstrate that CsCMV CP interacts with MeGRXC3 in both yeast and plant cells. This finding lays the groundwork for further elucidating the molecular mechanisms by which CP facilitates CsCMV infection.
                                                                                                                   
    Abstract:
    The continuous increase of global nitrogen fertilizer use has led to the increasingly serious problem of N2O emissions. How to effectively reduce N2O emissions and improve nitrogen use efficiency has become the focus of research. Dissolved organic matter (DOM) plays a crucial role in the soil nitrogen cycle, directly or indirectly influencing processes such as nitrogen mineralization, immobilization, nitrification, denitrification, and N?O emissions. Therefore, this review aims to deeply analyze the regulatory role of DOM in soil nitrogen cycle and N2O emissions, mainly involving the following aspects: (1) By providing a carbon source and energy, DOM promotes microbial metabolic activity, accelerating the mineralization of organic nitrogen and alleviating nitrogen supply limitations; (2) The composition and form of DOM significantly regulate nitrogen immobilization, nitrification, and denitrification reactions, affecting the rate of nitrogen transformation in the soil; (3) During nitrification and denitrification processes, DOM can act as an electron donor and influence nitrogen transformation by altering the soil microbial community structure. Understanding the impact of DOM on the soil nitrogen cycle not only helps to comprehend the dynamic changes in soil nitrogen but also provides a theoretical basis for mitigating greenhouse gas emissions and optimizing agricultural management.
                                                                                                                   
    Abstract:
    Sweet cherry (Prunus avium L.) is an important economic fruit tree, and its flower bud quality is greatly affected by temperature. In this paper, the whole genome of Heat shock transcription factors (HSF) family was identified with sweet cherry as material, and their expression and response to high and low temperature in 8 tissues were analyzed. The results showed that there were 17 HSF members in the sweet cherry genome, which were named PavHSF1-PavHSF17 according to their positions on chromosomes. All members of this family are hydrophilic proteins, and all members are localized in the nucleus. The presence of stress response elements such as low temperature in the promoter region suggests that PavHSF may be involved in abiotic stress response. PavHSF can be divided into 3 classes and 13 subclasses. There are two collinear gene pairs. The collinear gene pairs with monocotyledonous plants are the least. Tissue-specific expression analysis showed that PavHSF members had the highest expression levels in dormant flower buds and leaf buds, and PavHSF3 was highly expressed in all tissues of sweet cherry. Under high temperature stress, the expressions of PavHSF11, PavHSF13, PavHSF15 and PavHSF16 were significantly increased, which were the main genes responding to high temperature. Under low temperature stress, the expressions of PavHSF13, PavHSF15 and PavHSF17 increased most significantly, suggesting that PavHSF13 and PavHSF15 were transcription factors responding to temperature stress. This study speculated that PavHSF transcription factor family is widely involved in the growth and development of sweet cherry, and is closely related to temperature stress, which provides a basis for future gene cloning and functional studies of sweet cherry HSF family.
                                                                                                                   
    Abstract:
    This study investigates the dissipation patterns, accumulation and translocation of lead (Pb), arsenic (As), cadmium (Cd), and mercury (Hg) in a sediment-Zizania latifolia system through pot experiments, as well as their effects on the plant traits and quality of succulent stems. The results show that planting Z. latifolia significantly promoted the dissipation of Pb in sediments, with a dissipation rate 2.42 times higher than in unplanted sediments. The distribution of heavy metals in the organs followed the pattern of root > stem > leaf > succulent stem, with Pb, As, Cd, and Hg concentrations in the roots being 1508, 148, 261 and 9 times higher than those in the succulent stems, respectively. The bioconcentration factors and translocation factors of Z. latifolia for these four heavy metals were all less than 1, indicating weak accumulation and transport capabilities for them. However, Z. latifolia exhibited higher accumulation and transport capacities for Cd and Pb compared to As and Hg. Within the concentration range of the low-dose heavy metal treatment groups, Pb levels in succulent stems remained below the food safety limit, while Cd levels exceeded the limit. At low environmental pollution concentrations, As and Hg levels in edible stems were below food safety limits; however, high environmental pollution concentrations could lead to As and Hg exceeding the limits in edible stems. Heavy metal stress significantly increased the content of flavonoids, vitamin C, titratable acids, and crude fiber in edible stems, while reducing the content of reducing sugars and soluble solids, resulting in decreased tenderness and sugar-to-acid ratio of the succulent stems. The results suggest that Z. latifolia has potential for remediating Pb in sediments within the concentration range of 0–30 mg/kg, and its succulent stems meet food safety standards, achieving a win-win situation for ecological restoration and economic benefits. This study provides theoretical support for the "remediation-production" synergistic model in heavy metal contaminated sediment and has significant implications for promoting sustainable agricultural development.
                                                                                                                   
    Abstract:
    In order to explore the sensory quality of cigar tobacco leaves and its key differential components under different nitrogen application rates, and to analyze the material basis of the flavor characteristics of cigar tobacco leaves in Hunan. The cigar variety CX81 was used as the test material, and four nitrogen application treatments were set up : N0 ( 0 kg/hm2, CK ), N1 ( 180 kg/hm2 ), N2 ( 210 kg/hm2 ), N3 ( 240 kg/hm2 ). The sensory quality of fermented cigar leaves was evaluated and the main chemical components were analyzed. Orthogonal partial least squares discriminant analysis (OPLS-DA) was used to screen the key difference indicators under different nitrogen application rates, and the relationship between them and sensory quality was explored. (1) The results showed that the increase of nitrogen application rate could improve the smoke intensity, alcohol content, pollen aroma and glutinous rice aroma of cigars.(2) With the increase of nitrogen application rate, the total nitrogen, nicotine and browning reaction products of cigar tobacco leaves increased significantly, the total amount of phenylalanine degradation products, carotenoid degradation products, neophytadiene and neutral aroma substances increased first and then decreased, and the total sugar, reducing sugar and cembranoid degradation products decreased gradually. (3) The main chemical components were screened, and 21 key differential components were screened out. Among them, 7 key differential components were significantly positively correlated with sensory quality, and 1 was significantly negatively correlated. (4) The increase of nitrogen application rate mainly increased the sweetness and woody aroma of cigars by increasing the total amount of neutral aroma substances (except neophytadiene), increased the content of benzaldehyde, furfural, 3,4-dimethyl-2,5-furandione and browning reaction products, increased the total nitrogen and nicotine, reduced the mass fraction of reducing sugar, improved the smoke intensity and smoke alcohol and sense, and enriched the aroma of pollen and glutinous rice.
                                                                                                                   
    Abstract:
    To select optimal reference genes to improve the accuracy of qRT-PCR analysis results in the freshwater snail Bellamya purificata, ten commonly used reference genes, including actβ、18s、gapdh、ef1α、ef1β、rps3、rpl4、tubα、tubβ and sdha were selected as candidate genes, and geNorm, NormFinder, BestKeeper, ΔCt and RefFinder were employed to screen their expression stability during embryo and larvae stages, as well as inter-tissues and between-sex of adult individuals. The results showed that, the expression stability of the candidate genes during embryonic and larvae stages was ranked as gapdh>tubα>18s>ef1α>ef1β>rps3>actβ>tubβ>sdha>rpl4. As for inter-tissues of female and male individuals, the expression stability of the candidate genes were ranked as ef1β>tubα>rps3>ef1α>18s>actβ>gapdh>sdha>tubβ>rpl4 and ef1α>rps3>ef1β>rpl4>tubα>actβ>18s>gapdh>tubβ>sdha, respectively. As for between-sex, the expression stability was ranked as ef1β>ef1α>rps3>tubα>18s>actβ>gapdh>rpl4>sdha>tubβ. Thus, gapdh and tubα were suggested as reference genes for qRT-PCR analysis in embryo and larvae stages, ef1β and tubα were suggested as reference genes in inter-tissues qRT-PCR analysis in female individuals, ef1α and rps3 were suggested to be used in inter-tissues qRT-PCR analysis in male snails, while ef1α and ef1β were suggested to be used in between-sex qRT-PCR analysis in B. purificata.
                                                                                                                   
    Abstract:
    To investigate the characteristics of the digestive system of Euchiloglanis kishinouyei, a series of studies were conducted on its feeding organs and digestive tract using morphological and histological approaches. The results showed that E. kishinouyei possesses densely packed upper and lower jaw teeth, with the upper tooth band extending distinctly backward. The esophagus is short and thick, and the stomach is U-shaped with a relatively large capacity. The intestine can be divided into foregut, midgut, and hindgut based on two distinct bends. The foregut is enlarged, and the intestinal coefficient is 0.45?±?0.06. The liver exhibits a unique main-accessory liver structure: the main liver, divided into two lobes (long left and short right), is located at the anterior end of the abdominal cavity, while the accessory liver extends into the subcutaneous space behind the base of the pectoral fins via a connective band that passes through the body wall. Both sides of the accessory liver are morphologically similar. The hepatosomatic index (HSI) for the main liver is 0.65%?±?0.46%, and for the accessory liver, 0.54%?±?0.27%. Histological observations revealed well-developed taste buds around the lips and on the barbels. The esophageal musculature consists entirely of striated muscle, with longitudinal muscle bundles distributed in the submucosa. Numerous well-developed gastric glands were found in the corpus region of the stomach, and the circular muscle layer in the pyloric region was markedly thickened. Among the intestinal sections, the mucosal folds in the anterior intestine were the tallest, while the ratios of mucosal fold height to intestinal diameter remained relatively high in both the midgut and hindgut. Goblet cell numbers were lowest in the midgut and significantly higher in the hindgut. The well-developed taste buds, large accessory liver, and high relative height of intestinal mucosal folds reflect the species' strong adaptation to fast-flowing water environments. These findings provide a theoretical basis for the development of domestication strategies for E. kishinouyei.
                                                                                                                   
    Abstract:
    Low available magnesium (Mg) content in soils is prevalent across China"s primary lemon-producing regions, leading to frequent Mg deficiency symptoms in lemon plants and compromising fruit yield and quality. To investigate the differential nutrient uptake in lemon saplings under Mg-deficient stress and identify Mg-tolerant rootstocks, this study employed a hydroponic sand culture experiment using lemon saplings grafted ontoSTrifoliate orange andSC35 citrange rootstocks. Two Mg treatments were applied: adequate Mg supply (1 mmol/L MgSO4.7H2O) and Mg-deficient stress (0 mmol/L). After 180 days of cultivation, nutrient concentrations and translocation coefficients across various tissues were quantified. Results demonstrated that under adequate Mg supply,SP. trifoliata-grafted saplings exhibited significantly higher Mg uptake and utilization efficiency compared to C35 citrange-grafted saplings, along with superior Mn and Cu accumulation capacity. Mg deficiency reduced N translocation coefficients in both rootstock systems, while C35 citrange-grafted plants demonstrated higher Mg utilization efficiency. However, C35 citrange rootstock displayed impaired translocation capacity for Ca, Fe, Mn, and Zn. Notably, Mg-deficient conditions markedly increased Mn absorption inSP. trifoliata-grafted saplings, posing potential Mn toxicity risks. Comprehensive analysis revealed that C35 citrange rootstock offers distinct advantages for "Yunning No.1" cultivation under Mg-deficient but otherwise nutrient-sufficient conditions, whereas traditionalSP. trifoliataSrootstock proves more suitable for multi-nutrient-deficient environments.
                                                                                                                   
    Abstract:
    To investigate the influence of low frequency electric field with different intensities on the quality change and moisture migration of superchilled tilapia meat during storage. Low frequency electric fields with intensities of 600 V/m, 1500 V/m, and 3000 V/m were selected as test conditions. Indicators such as drip loss rate, water holding capacity, hardness, color, TVB-N content, and water migration of superchilled tilapia meat were measured during storage. The results showed that low frequency electric field could effectively suppress drip loss rate, maintain water holding capacity, with greater intensity resulting in more significant effects. From the fourth day, drip loss rate of samples treated with 3000 V/m electric field was significantly lower than that of control group (P<0.05), and water holding capacity was significantly higher (P<0.05). Meanwhile, low frequency electric field could inhibit color deterioration, hardness decrease, TVB-N content increase, extend the shelf life; By the sixteenth day, the increase in TVB-N content of control group was about 1.6~3.0 times higher than that of electric field groups. According to low field nuclear magnetic resonance analysis, as storage time increases, the water in tilapia meat migrated from immobilized water to free water, while low frequency electric field could suppress water migration, and the higher electric field intensity, the more significant effect. The above results indicated that low frequency electric field with electric field intensity of 3000 V/m had the best effect on maintaining the quality of superchilled tilapia meat.
    Display Method:
    2023,42(2):1-8, DOI: 10.13300/j.cnki.hnlkxb.2023.02.001
    [Abstract] (1502) [HTML] (303) [PDF 767.96 K] (9640)
    Abstract:
    Cattle industry is an important part of animal husbandry and a pillar industry for agriculture and rural development in China.However, the prevalence of important infectious diseases in cattle seriously restricts the healthy and sustainable development of cattle industry and public health security.With the continuous expansion of domestic and foreign trade related to cattle, its impact is on the rise.In this paper, the epidemic characterization, control status and challenges of important bovine diseases in China were reviewed from three aspects, including important infectious diseases, emerging infectious diseases and re-emerging infectious diseases.It is considered that the prevalence of important infectious diseases in cattle is associated with complex and changing natural, social, and economic factors, which is characterized by following aspects: unclear epidemiological background, the continuous emergence of new diseases, the re-emergence of some controlled diseases, the frequent co-infection with multiple pathogens, diagnosis, and treatment difficulties etc.Finally, based on the current internal and external challenges for the effective prevention and control of important bovine infectious diseases, the prevention and control suggestions were put forward, in order to provide reference for the effective prevention and control of important bovine infectious diseases in China.
    2023,42(5):12-19, DOI: 10.13300/j.cnki.hnlkxb.2023.05.002
    [Abstract] (1366) [HTML] (146) [PDF 0.00 Byte] (5784)
    Abstract:
    Soil salinization seriously restricts the sustainable development of agriculture,but the application of modified biochar has a significant effect on the improvement of saline-alkali soil.In order to explore the mechanism of modified biochar improving saline-alkali soil.This article summarizes the effects of different modification methods on the physical and chemical properties of pristine biochar,as well as the improvement effect and influencing factors of modified biochar on saline-alkali soil.The results showed that the modified biochar had the characteristics of large specific surface area,many types and quantities of oxygen-containing functional groups,and a decrease in the proportion of alkaline substances.It can promote the formation of aggregate structure in saline-alkali soil,increase the adsorption of salt ions and nutrient retention,change the functional structure of soil microorganisms,and strengthen the ability of crops to cope with external stress.However,there were few studies on the long-term effects of modified biochar and the differences of its application in different types of saline-alkali soil.In the future,field verification tests of different types of saline-alkali soil should be carried out to explore the adsorption capacity and long-term effect of modified biochar on different salt ions,in order to optimize its improvement methods under different saline-alkali types.
    2024,43(4):70-81, DOI: 10.13300/j.cnki.hnlkxb.2024.04.009
    [Abstract] (2329) [HTML] (353) [PDF 0.00 Byte] (5330)
    Abstract:
    Carbon in soil is an important component of the global carbon cycle,and the processes of carbon cycling play a crucial role in regulating climate,with microorganisms being the key driving force behind carbon cycling in soil. This article reviewed the roles and mechanisms of microorganisms in the input of organic carbon in soil,formation and stabilization of organic matter in soil,the processes of decomposing and mineralizing organic matter in soil,and the effects of soil properties,climate conditions,plant factors,and human activities on microorganisms mediated carbon cycling in soil,especially the progress and theoretical updates in related studies. Microorganisms in soil can indirectly promote the photosynthesis in plant and the input of carbon in soil through its symbiosis with plants,and can directly participate in the fixation and transformation of carbon in soil. Microbial residues and their secretions play a crucial role in the formation of mineral-associated organic matter and aggregates in soil,which is beneficial for the long-term stability of organic carbon in soil. The microorganisms mediated effect of priming has a regulatory effect on the decomposition of organic matter in soil,which can affect the emissions of greenhouse gases such as CO2 and CH4 from the soil. Studies on the mechanism of microorganisms mediated processes of stabilizing the organic carbon and storing carbon in soil in the future should be strengthened and focus on the complex relationship between the structure and function of microbial community and the carbon cycling in soil,as well as their response to global changes. It will provide new insights for China to achieve its major strategic goals of “carbon peak” and “carbon neutrality” through enhancing the potential of carbon sequestration or the function of carbon sink with microbial activity.
    2023,42(4):167-176, DOI: 10.13300/j.cnki.hnlkxb.2023.04.019
    [Abstract] (865) [HTML] (333) [PDF 0.00 Byte] (5274)
    Abstract:
    The slow/controlled-release technology has been widely applied in the agricultural production with the rapid development of green, efficient, and intensive modern agriculture.The use of slow/controlled release fertilizers (SRFs or CRFs) can reduce environmental pollution, restore soil ecology, improve the utilization efficiency of fertilizer, and reduce labor costs.However, there are also some shortcomings in the application of slow/controlled release fertilizers.This article summarized the development, classification, preparation methods, and applications of SRFs or CRFs in recent years based on reviewing literatures.The advantages and disadvantages of slow/controlled release fertilizers in application were summarized.The problems and countermeasures in the application of slow/controlled release fertilizers were sorted out.It is proposed that systematic studies should be conducted on the application technology and evaluation system of slow/controlled release fertilizers in the future, focusing on the development of green materials, production processes, and equipment innovation, to form the integration and demonstration of industrial technology for slow/controlled release fertilizers, and to develop efficient, environment friendly, and low-cost slow/controlled release fertilizers that meet the requirements of production.
    2023,42(2):9-16, DOI: 10.13300/j.cnki.hnlkxb.2023.02.002
    [Abstract] (1694) [HTML] (579) [PDF 916.90 K] (4930)
    Abstract:
    In August 2019,lumpy skin disease (LSD) broke out firstly in Yili,Xinjiang Uygur Autonomous Region,China,and then spread throughout the country.Due to lack of comprehensive knowledge and experience in prevention and control of LSD,clinically,they are often lack of targeted measures,leading to the spread of the disease and causing significant economic losses to the cattle industry.Therefore,in order to identify the key risk factors and the key links of prevention and control of LSD,this paper comprehensively reviewed the etiological characteristics,pathogenic mechanism,clinical characteristics,transmission rules,diagnosis,prevention and control measures,and put forward suggestions for the effective prevention and control and elimination of LSD in China.
    2023,42(2):147-157, DOI: 10.13300/j.cnki.hnlkxb.2023.02.019
    [Abstract] (1212) [HTML] (401) [PDF 1.08 M] (4888)
    Abstract:
    Root exudates are the main medium of communication between crops and soil,play important roles in the activation of nutrients in soil,the nutrient uptake and growth of crops.This article summarized the classification and function of root exudates,and their effects on the activation of nutrients including nitrogen,phosphorus,potassium and iron in soil,the nutrient absorption and growth of crops to study the relationship between root exudates,crops,soil and microorganisms,and to use different root exudates to achieve interspecific promotion,improve the utilization rate of natural resources and agricultural productivity.The different mechanisms of crop response to nutrient stress were discussed.The prospects including strengthening the identification means of root exudates to realize the in-situ damage-free identification and analysis of root exudate components,using interdisciplinary knowledge to further reveal the root-soil interface biological interaction process of efficient utilization of crop nutrients mediated by root exudates,focusing on functional localization of target genes and microorganisms that verify that root exudates affect plant response to biotic and abiotic stresses,using genetic engineering to effectively improve plant health,promoting the process of transforming research results into scientific and technological applications,and applying beneficial root exudates to practical production via using bionics principle were put forward.
    2023,42(4):244-253, DOI: 10.13300/j.cnki.hnlkxb.2023.04.028
    [Abstract] (715) [HTML] (532) [PDF 0.00 Byte] (4668)
    Abstract:
    As a high-value carotenoid, lycopene has many physiological functions, such as anti-oxidation, scavenging free radicals and preventing heart cerebrovascular disease. It is widely used in fields such as food and medicine. At present, lycopene mainly comes from natural tomato extraction, and its market application is limited due to the limited production capacity. While the biotechnology represented by synthetic biology has brought the dawn for the innovative production of lycopene. In this paper, the physicochemical properties, physiological functions and production methods of lycopene were summarized according to the relevant domestic and foreign research literature. In particular this paper focuses on the recent research progress in the metabolic engineering, fermentation and extraction of lycopene by biotechnology. The research status of lycopene synthetic biology was systematically reviewed. Finally, the future direction and problems of lycopene production by biotechnology are prospected, so as to provide reference for the related research on the biosynthesis of lycopene.
    2023,42(6):35-42, DOI: 10.13300/j.cnki.hnlkxb.2023.06.006
    [Abstract] (1400) [HTML] (387) [PDF 599.54 K] (4493)
    Abstract:
    The transformation of potassium (K) forms in soil plays an important role in the improvement and evaluation of potassium fertility in soil,efficient fertilization techniques of potassium,and regulation of potassium nutrition in plants.In recent years,the team of studying potassium in soil at Nanjing Institute of Soil Science,Chinese Academy of Sciences,has carried out a series of studies on the differentiation method and content range of different forms of potassium in soil,the mechanism of efficient utilization of potassium in soil by plants,the release mechanism of non-exchangeable potassium (NEK) in soil and its influencing factors,especially the method of evaluating the bioavailability of non-exchangeable potassium in soil.The content of non-exchangeable potassium in soil had a maximum value in different types of soil based on the results of soil K extraction with a strong sodium tetraphenylboron (NaTPB) method.The non-exchangeable potassium extracted through exchange and diffusion can account for 20% to 60% of the total potassium in the soil.The release of non-exchangeable potassium from minerals mainly depends on the content of other ions and the concentration of potassium in environment,and the efficient absorption of non-exchangeable potassium by plants depends on the ability of root systems to absorb potassium at low concentrations as well.It has been confirmed that the formation and release of non-exchangeable potassium in soil play an important role in the soil holding capacity and bioavailability of potassium in soil.The new methods for measuring the total amount of non-exchangeable potassium in soil,determining changes of potassium in soil,and grading plant-available potassium in soil have been established.It will provide powerful methods and means for accurately evaluating and predicting the potassium fertility in soil,and studies related to soil potassium,which will facilitate the transition of studying potassium in soil with the qualitative and semi-quantitative methods to the quantitative methods.
    2023,42(5):42-52, DOI: 10.13300/j.cnki.hnlkxb.2023.05.006
    [Abstract] (1022) [HTML] (190) [PDF 0.00 Byte] (4323)
    Abstract:
    Grassland animal husbandry is not only an important part of modern animal husbandry, but also a traditional basic industry and characteristic advantage industry in Xinjiang.In order to promote the transformation and upgrading of grassland animal husbandry in Xinjiang, this paper set out from the precise objectives of ‘high-quality products, grassland restoration, herdsmen’s income increase and cultural inheritance’.Based on the current situation of grassland animal husbandry development in Xinjiang, this paper analyzed the practical challenges impeding the transformation and upgrading of the industry and proposed a pathway towards achieving the transformation and upgrading of grassland animal husbandry in Xinjiang.The study found that the realistic dilemma faced by Xinjiang grassland animal husbandry in the process of transformation and upgrading include: the change of breeding mode and the lack of technology application affecting the quality of animal products, overgrazing of natural grasslands affecting ecological restoration, insufficient development of industry chain affecting the increase of herdsmen’s income, and the change of herdsmen’s mode of production and life affecting the inheritance of grassland culture.The study concluded that the essence of the high-quality development of grassland animal husbandry is the dynamic balance of ‘grass-animal-human-culture’.In the transformation and upgrading of grassland animal husbandry in Xinjiang, we should pay attention to the matching between scientific and technological research and development application and breeding mode, improve incentive policies and grazing management measures, accelerate the construction and value increase of the whole industry chain, and strengthen the cultural characteristics of grassland animal husbandry in Xinjiang.
    2024,43(2):164-174, DOI: 10.13300/j.cnki.hnlkxb.2024.02.019
    [Abstract] (974) [HTML] (589) [PDF 789.74 K] (4284)
    Abstract:
    Aquaculture is one of the most important ways of providing aquatic products, and the aquafeeds, especially for carnivorous aquatic animals, requires large amounts of fishmeal. To date, fishmeal has been recognized as the best source of protein in aquafeeds in terms of nutritional quality. However, with overfishing, anthropogenic activities and extreme weather, the production of major fish species that provide fishmeal has been decreasing globally year by year, leading to fishmeal shortage and price increase, and thus there is an urgent need for the aquaculture industry to seek for high quality alternative protein sources to fishmeal in order to achieve its sustainable development. Aquaculture is one of the most important ways of providing aquatic products. The aquatic feeds especially for carnivorous aquatic animals require large amounts of fishmeal. To date, fishmeal has been recognized as the best sources of protein in aquatic feeds in terms of nutritional quality. However, the production of major fish species that provide fishmeal has been decreasing globally year by year with overfishing, anthropogenic activities and extreme weather, leading to the shortage of fishmeal and the increase of its price, and thus there is an urgent need to seek the alternative sources of protein with high quality as fishmeal to achieve the sustainable development of aquaculture industry. Black soldier fly (BSF, Hermetia illucens) is a saprophytic insect, and its larvae have characteristics including wide feeding habits, strong reproductive ability, and rich and balanced nutrients. It is considered as a highly potential and new sources of feed protein and has broad prospects of application in the production of aquatic animals. This article reviewed the main nutritional and bioactive components of BSF larvae, as well as progress on their application in feeds for different aquaculture species such as herbivorous, omnivorous, carnivorous, crustacean, and amphibian reptiles. The optimal amount of BSF larvae in different aquatic feeds was summarized. The feasibility of using BSF larvae as a sustainable source of protein in aquatic feeds was explored. The problems and challenges in its practical application were analyzed. It will provide a basis and reference for developing and utilizing black soldier fly and studying its mechanism in aquatic animals.
    2023,42(5):35-41, DOI: 10.13300/j.cnki.hnlkxb.2023.05.005
    [Abstract] (1048) [HTML] (529) [PDF 0.00 Byte] (4268)
    Abstract:
    The planting area and annual yield of jujube in China rank first in the world,while Xinjiang is the largest jujube production area in China.The jujube industry,as an important pillar industry of regional economic development in Xinjiang,has a good industrial foundation and development prospects.However,the processing products of Xinjiang jujube are still mainly primary processing products,with a low proportion of intensive and deep processing,which limits the high-quality development of the Xinjiang jujube processing industry.This article reviewed the situation of jujube planting,production and market circulation in China and Xinjiang,and summarized the progress of jujube processing products and processing technology in recent years.The current problems of Xinjiang jujube industry including the low degree of mechanization,short industrial chain,and serious product homogeneity were analyzed.Measures and advices in terms of planting patterns,product development,and brand construction were proposed.It will provide useful reference for promoting the high-quality and sustainable development of jujube processing industry in Xinjiang.
    2023,42(6):59-72, DOI: 10.13300/j.cnki.hnlkxb.2023.06.009
    [Abstract] (1487) [HTML] (778) [PDF 1.04 M] (3940)
    Abstract:
    Iron is an essential micronutrient for the normal development of all living things. In particular, cultivating iron-rich seeds through biofortification is an important technical solution to solve the "hidden hunger" of human beings, and chelated iron fertilizer is widely used due to its high efficiency. Therefore, the research and development of novel micronutrient chelators is always a competitive hotspot in the world.The plant-secreted mugineic acids and microbial-secreted siderophores, which can efficiently activate insoluble iron to be bioavailable for plants, are potential novel biochelates, especially microorganisms that can efficiently secrete siderophores have application potential. These novel iron fertilizers can improve the iron nutrition of plants without external iron input, but can activate the rich iron resources in the soil effectively by utilizing the strong chelating property of the active substance of the strain itself, and provide enough bioavailable iron for plants. Therefore, these findings offer applied opportunities for novel biochelates to improve plant iron nutrition and crop yield and sustainable development of agriculture. To further explore and develop those novel and green biochelates, provide new pathways for the development of green intelligent fertilizer, and achieve the sustainable development of agriculture, based on the research progress of the molecular and physiological mechanism of iron uptake and utilization by plants and microorganisms, the research progress and application of novel iron biochelates from plants and microorganisms were reviewed. The study covers the status and causes plant iron deficiency, ways to improve iron nutrition, molecular ecological advantages of iron absorption and utilization by plant root exudates under mechanism Ⅱ, as well as the potential of microbial siderophores to improve plant iron nutrition. It is expected that further research and development will lead to a deeper understanding of the mechanism of these novel biochelates to improve the efficiency of iron nutrient uptake in plants, and provide new ways for realizing the sustainable development of green agriculture. It is expected that further research and development will lead to a deeper understanding of the mechanism of these novel biochelates to improve the efficiency of iron nutrient uptake in plants, and provide new ways for realizing the sustainable development of green agriculture.
    2024,43(3):75-88, DOI: 10.13300/j.cnki.hnlkxb.2024.03.008
    [Abstract] (1403) [HTML] (145) [PDF 843.21 K] (3894)
    Abstract:
    Reducing agricultural carbon emissions and improving the capacity of agricultural carbon sinks are important measures for China to realize the goal of “Dual-carbon”, which is also where the potential lies. Therefore, it is undoubtedly of great significance to clarify the current status of research on agricultural carbon issues and its characteristics. In order to contribute to the early realization of China’s “Dual-carbon” goal, this paper comprehensively comprehends the existing studies based on the three dimensions of agricultural carbon emissions, agricultural carbon sinks, and driving factors of agricultural low-carbon development. Specifically, firstly, the basic concepts of agricultural carbon emissions are clarified and common measurement methods are introduced, and the current research status is reviewed, taking into consideration temporal evolution, spatial distribution, efficiency characteristics, and emission reduction pathways. Secondly, the basic concepts of agricultural carbon sinks are defined, and the forest carbon sink, soil carbon sink and ocean carbon sink are derived, followed by the introduction of their respective measurement method. Then, the focus is on the net agricultural carbon sink and the marketization of carbon sink. Finally, the main factors that affect the development of low-carbon agriculture are discussed from both macro and micro levels. At the macro level, policy, economic and social factors are considered, while at the micro level, the internal factors of the head of the household and the external environment faced by the farmers are examined. With regards to the direction of future research on agricultural carbon issues, this paper believes that it should focus on the following four aspects, namely, the scientific prediction of agricultural carbon peaks and the design of differentiated emission reduction paths, the scientific assessment of the potential for agricultural carbon reduction and carbon sequestration and the discussion of paths to achieve these goals, the construction of an agricultural carbon market, and exploration of the idea of realizing the value of carbon sinks, as well as the exploration of the matching of the supply and demand of low-carbon production techniques by farmers and the optimization of their systems.
    2023,42(5):28-34, DOI: 10.13300/j.cnki.hnlkxb.2023.05.004
    [Abstract] (1043) [HTML] (462) [PDF 0.00 Byte] (3762)
    Abstract:
    Drought has become one of the key environmental factors limiting the development of agriculture in China. Due to fixed growth, plants cannot actively escape from stress when external water factors change, and can only rely on their own mechanisms to resist external stress. Therefore, studies on plant drought resistance are becoming very urgent. This article reviewed the previous researches related with plant drought tolerance. The focus was on exploring the classification of desiccation-tolerant plants, the response mechanisms of their morphological structure, physiological and molecular level during dehydration and rehydration to provide new ideas for mining desiccation-tolerant genes, creating desiccation-tolerant germplasm resources and breeding new desiccation-tolerant varieties.
    2023,42(3):10-17, DOI: 10.13300/j.cnki.hnlkxb.2023.03.002
    [Abstract] (939) [HTML] (1690) [PDF 630.87 K] (3715)
    Abstract:
    Smart agriculture offers new insights for reducing emissions and increasing carbon sinks in agriculture, and contributes to the carbon peaking and carbon neutrality. Based on clarifying the connotation and characteristics of smart agriculture under the goals of carbon peaking and carbon neutrality, this article analyzes the problems and challenges faced by the development of smart agriculture, and proposes countermeasures and suggestions. The results showed that the development of smart agriculture under the goals of carbon peaking and carbon neutrality should emphasize the philosophy of leading low-carbon with intelligence and driving intelligence with low-carbon. The science and technology should focus on the low-carbon oriented innovation and application. Attentions should be paid to the double-wheel drive of government and market in terms of system. The development of smart agriculture in China is still at its initial stage. There are shortcomings and bottlenecks in data resources, technical equipment, production capacity, talent reserve, policy support, and other aspects. Therefore, we should establish a carbon data system for agriculture, strengthen the innovation and R & D in agricultural technology, improve the training system of talent, promote the moderate scale operation of agriculture, construct a low-carbon development mechanism for smart agriculture with “government doing something, market being effective” in the future.
    2024,43(2):10-21, DOI: 10.13300/j.cnki.hnlkxb.2024.02.002
    [Abstract] (735) [HTML] (317) [PDF 1.35 M] (3628)
    Abstract:
    Owing to the properties of low concentration and high toxicity,emerging contaminants (ECs) have become one of the major threats to water safety.Biochar has attracted extensive attention in the removal of ECs from aquatic environment due to its easy accessibility and high treatment efficiency.In order to promote the application of biochar in the removal of ECs,in this paper the pollution status of ECs ,the properties of biochar,and the research and application of biochar in the removal of ECs in aquatic environment were reviewed.The research progress of removal of ECS by biochar as absorbents,advanced oxidation catalysts and microbial immobilization carriers was summarized,and the prospect was put forward.
    2023,42(4):1-6, DOI: 10.13300/j.cnki.hnlkxb.2023.04.001
    [Abstract] (853) [HTML] (169) [PDF 0.00 Byte] (3560)
    Abstract:
    Landscape architecture should fully play its positive role in the context of global climate change and the target of carbon peak and neutrality proposed by China government. The practical actions of landscape architecture in various countries taken to address the goals of carbon peak and neutrality were learned about through exclusively interviewing International Federation of Landscape Architects Asia Pacific Region Climate Change Working Group. The goals and prospects for the development of landscape architecture in the future were proposed from two aspects including the flexible design and low-carbon design of landscape architecture.
    2023,42(6):50-58, DOI: 10.13300/j.cnki.hnlkxb.2023.06.008
    [Abstract] (957) [HTML] (500) [PDF 646.82 K] (3484)
    Abstract:
    Molybdenum (Mo),as an essential trace element in plants,plays a crucial role in promoting the growth and development of plant and enhancing plant stress resistance.The absorption and transportation of molybdenum in plants are mainly regulated by the molybdate transporter genes MOT1 and MOT2.Molybdenum enters the plant and participates in the growth and metabolism of plant in the form of molybdenum containing enzymes.The regulation of plant stress resistance is mainly manifested as follows:molybdenum affects the photosynthetic carbon and nitrogen metabolism,hormone synthesis,and reactive oxygen species metabolism in the plant through molybdenum containing enzymes including nitrate reductase,aldehyde oxidase,and xanthine dehydrogenase,thereby regulating plant cold resistance.Molybdenum regulates root development,nutrient and water use,and drought resistance gene expression through signal transduction processes mediated by nitrate reductase and aldehyde oxidase,further affecting lipid synthesis and metabolism to regulate plant drought resistance.The recent studies have found that molybdenum plays an important role in plant adaptation to salt stress and alleviating heavy metal stress as well.It will provide new insights into improving plant stress resistance via regulating molybdenum nutrition.
    2024,43(4):60-69, DOI: 10.13300/j.cnki.hnlkxb.2024.04.008
    [Abstract] (531) [HTML] (127) [PDF 0.00 Byte] (3438)
    Abstract:
    The specific predatory bacteria Bdellovibrio and like organisms (BALOs) are been highly valued due to their potential applications in agriculture, industry and medicine, especially in treating the infections caused by pathogenic bacteria with antibiotic resistance. However, many fundamental scientific issues regarding BALOs have been unclear in the past decades, which is the bottom cause why these types of bacteria have not been effectively developed and utilized yet. In recent years, significant progress has been made in the life cycle, mechanisms of predation, the distribution of resource and the diversity of BALOs, and the applications of BALOs in medicine, agriculture, and industry. Especially since the formal establishment of the phylum Bdellovibrionota in 2021, there has been an explosive growth in studies related to BALOs. This article systematically reviewed the progress on studying BALOs. It was focused on introducing the latest reports on predatory mechanisms of BALOs and other outstanding achievements to promote the understanding and further application of BALOs resources, and to guide the studies on BALOs in the future.
    2024,43(4):94-101, DOI: 10.13300/j.cnki.hnlkxb.2024.04.011
    [Abstract] (953) [HTML] (822) [PDF 0.00 Byte] (3426)
    Abstract:
    Gamma-aminobutyric acid (GABA) is a four carbon and non-protein amino acid with broad application prospects in food, agriculture, medicine, chemical and other fields. The production of GABA with microbial methods has been received increasing attention due to its advantages of mildness and sustainable development. Therefore, this article systematically introduced the methods of producing GABA, the biosynthetic pathways in organisms, and the progress in studying the microbial production of GAB to achieve an environment-friendly, convenient, and more efficient method of producing GABA that meets the strict requirements for additives in the food, pharmaceutical, and animal husbandry industries. It summarized the current level of whole-cell catalysis and de novo microbial synthesis of GABA. Researchers are committed to screening and optimizing enzymes with high efficiency and stability of catalysis, and improving the efficiency of synthesizing GABA by finely regulating the metabolic pathways of microorganisms. Studies in the future need to optimize the performance of enzymes and strains, reduce costs of production, and explore pathways for industrialized production at larger scale.

More+

Introduction of
the journal

More+
Periodical information
WeChat
Access statistics