2025(1):1-7. DOI: 10.13300/j.cnki.hnwkxb.2025.01.001
摘要:城乡要素的加速流动特别是农业劳动力的非农转移,已经对农业经营及其要素配置产生了深刻的影响。其中,农地撂荒是重要的表征之一。中国农业经营从劳动力过度投入所引发的“内卷化”与耕地开垦的“平面扩张”,正在逐渐转变为农业劳动力相对不足,进一步引发了耕地的“相对过剩”与边际化经营,并极端地表现为程度不同的农地撂荒。文章对中国农地撂荒基本特征及其成因进行简要的文献梳理,对“农地撂荒及其治理”专栏扼要说明,并从基础性拓展、思路性拓展以及策略性思考三个角度对需要进一步深化研究的议题做了讨论。
2025(1):8-18. DOI: 10.13300/j.cnki.hnwkxb.2025.01.002
摘要:农地撂荒及其治理是备受关注的重要议题。通过构建“连片种植-纵向分工-农地撂荒”的分析框架,重点考察连片种植对农户撂荒行为的影响及其作用机理。分析结果表明:参与连片种植对农户耕地撂荒行为具有显著的抑制效果,连片程度每提升1个单位,撂荒可能性将减少4.1%~4.6%。机理检验表明,连片种植所形成的服务规模化供给,能够将农户卷入生产环节的分工外包,从而减少农地撂荒。情景分析表明,在地块耕作坡度较大或者交通可达性较差的情境下,连片种植对农地撂荒的抑制效果较为有限。但如果政府实施了基本农田整治,无论是工程性建设还是权属性调整,都将显著增强连片种植对农地撂荒的抑制作用。此外,与纯务农家庭相比,连片种植对务工家庭的撂荒抑制效果更加明显。进一步的证据表明,连片种植的有效实施在很大程度上依赖于村庄的组织化程度。村庄的组织化程度越高,连片种植的实施效果越好。据此认为,“以连片种植推动区域作物布局专业化”是实现以服务规模经营治理农地撂荒的重要途径。
2025(1):19-30. DOI: 10.13300/j.cnki.hnwkxb.2025.01.003
摘要:传统双季稻主产区农户“双改单”现象是农地隐性撂荒的重要表现,直接影响粮食安全的有效保障。基于江西省1366份水稻种植户种粮行为的调查,实证分析农户数字素养对农地隐性撂荒的影响及作用机制。研究发现:(1)数字素养对农地隐性撂荒有显著的抑制作用,数字素养的提高有助于提升农户种粮积极性,促进农户种植双季稻;(2)机制分析表明,数字素养通过促进网络销售、农地转入、农业社会化服务引入、农业绿色生产技术采纳而抑制农地隐性撂荒,激励农户种植双季稻;(3)异质性分析显示,数字素养对年龄较小、农业收入占比较低、社会资本丰富与农地确权的农户农地隐性撂荒行为有更显著的抑制作用,提高其种植双季稻的概率。为此,要治理农地隐性撂荒,应加大乡村数字基础设施建设,着力提高农户数字素养,缩小农户数字素养鸿沟,引导双季稻主产区农户种植双季稻。
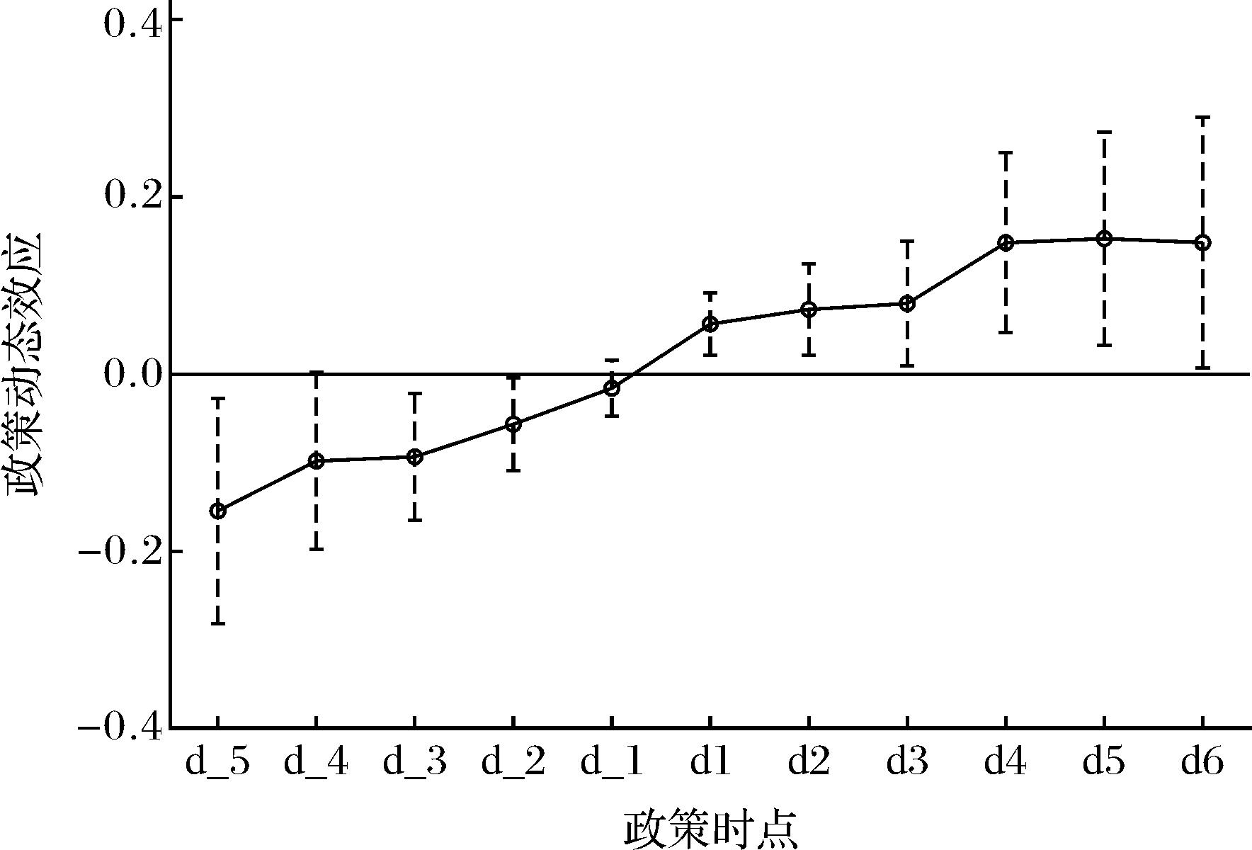
2025(1):31-40. DOI: 10.13300/j.cnki.hnwkxb.2025.01.004
摘要:通过构建“市场-组织-政府”的分析线索,并利用广东省阳山县2017-2019年的农户非平衡面板数据对农地撂荒治理策略进行了实证研究。结果表明:(1)由市场导向的农地流转,并不能有效降低农地撂荒的发生率,而农业的外包服务则能够显著降低农地撂荒发生的可能性;(2)由政府支持的对灌溉设施的投资,能够强化农地流转市场对农地撂荒的治理效应,即实施灌溉设施投资的村庄相对于不实施灌溉设施投资的村庄,农地转出对于农地撂荒能够起到更好的缓解作用;(3)灌溉设施的改善以及农业经营的组织化都能够诱导农业服务外包市场的发育,提高农户购买外包服务的概率,其中,农业经营的组织化所起到的作用尤为重要。由此对政府、组织和市场在撂荒治理中的角色定位进行讨论,认为政府并不必然需要直接参与资源的调控和分配,关键在于做好市场的基础性建设。
2025(1):41-53. DOI: 10.13300/j.cnki.hnwkxb.2025.01.005
摘要:中国式现代化是全体人民共同富裕的现代化,促进共同富裕,最艰巨最繁重的任务仍然在农村。完成这项任务的关键环节是实现劳动生产率在不同农业门类之间以及农业与非农部门之间的趋同。独特的制度优势允许中国为实现上述趋同提前做好宏观战略规划并不断推动微观布局向着上述趋同逼近,但是需要提前明确未来的均衡状态。从中国自身的特征出发,定量测算中国式现代化进程中土地和劳动力两大要素在不同农业门类之间以及农业与非农部门之间的流动潜能,量化估算未来农业发展的均衡状态。研究结果表明,为实现中国式现代化,必须推动高质量城镇化与经济结构转型双轮同步,同时合理引导资本和技术要素进入农业以补缺劳动力要素流出后的生产力水平下降。
2025(1):54-66. DOI: 10.13300/j.cnki.hnwkxb.2025.01.006
摘要:发展农业新质生产力是用新动能装备农业、新技术改造农业、新产业提升农业、新价值推进农业、新生产力引领农业,提升农业在全球价值链中参与度的途径。由此,围绕农业新质生产力如何影响农业全球价值链参与度展开分析。首先,利用熵值法构建农业新质生产力的国际指标体系,对63个国家2000-2018年的面板数据进行测度,其次,实证分析了农业新质生产力对农业全球价值链前向和后向参与的影响。最后,围绕农业服务化和工业化水平,对农业新质生产力如何提升价值链参与度展开了机制探讨。研究发现:(1)全球范围内农业新质生产力普遍提升,但发展中国家与发达国家的差距并未缩小;(2)农业新质生产力对农业全球价值链前向参与的促进作用更加突出;(3)农业新质生产力在发展中国家提升农业服务化和工业化水平,增强全球价值链参与,而在发达国家则抑制这一过程。
2025(1):67-78. DOI: 10.13300/j.cnki.hnwkxb.2025.01.007
摘要:推进农业农村现代化,是全面建设社会主义现代化国家的重大任务,创建国家现代农业示范区是推进中国特色农业现代化的积极探索和重要举措。原农业部先后于2010年、2012年和2015年,通过“典型引路、以点带面”的示范带动策略,分三批认定了283个国家现代农业示范区,旨在引领区域农业现代化发展。在经典政府激励模型的基础上,构建了示范创建与农业生产效率的理论模型分析框架,并运用多期DID模型实证检验建设现代农业示范区在提升农业产出、推动农业现代化发展中的作用。研究发现,示范创建能够激励地方政府加大对农业发展的投入,示范区创建后,相关地区农林牧渔业增加值提高了2.8%,且通过了平行趋势检验和Bacon分解。稳健性检验发现,县级示范区、大中城市郊区示范区和优势农产品区域示范区的示范创建效果明显,但创建地市级示范区的效果不显著。机制分析发现,示范创建实施后,政府财政支农投入、农业技术推广投入水平以及农业产出水平均有所提升。创建国家现代农业示范区对推动农业农村现代化发展具有重要意义,但政策的实施应当更加精准,合理优化空间布局,控制创建范围,并提升对财政、科技的投入水平。
2025(1):79-93. DOI: 10.13300/j.cnki.hnwkxb.2025.01.008
摘要:鼓励乡村创新创业发展,充分激发乡村双创活力,将为推动县域经济增长提供充足内生动能和重要发展机遇。利用浙大卡特-企研团队2023年公布的“乡村创新创业指数”,基于中国2014-2021年1836个县域平衡面板数据,实证考察乡村创新创业对县域经济增长的影响效应及作用机理。结果表明:(1)乡村创新创业能够显著推动县域经济增长。乡村创新创业水平每提高1%,推动县域GDP增加4%;(2)在劳动力流出地区、实体金融和数字普惠金融服务较好的地区以及乡村振兴战略实施以来,推动作用更为显著;(3)机理检验表明,乡村创新创业主要通过促进高质量充分就业、激发消费活力和推进产业结构升级推动县域经济增长;(4)乡村创新创业对县域经济增长的影响存在门槛效应,当政府介入力度维持在合理区间时,推动作用才能得到充分发挥;(5)进一步分析发现,乡村创新创业还能够通过促进产业均衡发展、区域绿色低碳,推动县域经济高质量发展。因此应进一步支持乡村创新创业融合发展,以就业、消费和产业结构升级为重点,以提升政务服务效率、推进有为政府建设为保障,为县域经济增长乃至高质量发展凝聚充足动力。
2025(1):94-107. DOI: 10.13300/j.cnki.hnwkxb.2025.01.009
摘要:提高公民的社会公平感对于维护国家秩序、构建和谐社会至关重要。在数字普惠金融助推乡村振兴的背景下,为了揭示数字普惠金融是否会让农村居民感到更加公平,基于北京大学的数字普惠金融指数与中国综合社会调查数据,考察了数字普惠金融对农村居民社会公平感的影响及作用机制。研究发现,数字普惠金融的发展显著提升了农村居民的社会公平感。机制分析表明,数字普惠金融通过提高个人横向和纵向相对评价来正向影响农村居民的社会公平感,个人绝对收入水平不构成数字普惠金融影响农村居民社会公平感的路径。进一步发现,数字普惠金融对农村居民社会公平感的影响存在个人绝对收入的双重门槛效应。据此建议进一步完善数字普惠金融服务体系,重视地区间的平衡性、协调性。
2025(1):108-120. DOI: 10.13300/j.cnki.hnwkxb.2025.01.010
摘要:采用2013-2022年A股涉农上市企业数据,构建固定效应模型探讨数字化转型对涉农企业高质量发展的影响效应及作用渠道。研究表明,数字化转型有助于涉农企业实现效率变革与动力变革,该结论在进行稳健性检验后仍然成立。数字化转型对涉农企业效率变革与动力变革的影响存在差异:数字化转型引发的效率变革在位于粮食主产区和主销区的企业中更加明显;引发的动力变革在民营企业、位于粮食主产区和主销区的企业中更为强劲。在产业链上下游不同功能位置,数字化转型引发的效率变革和动力变革具有均衡性。数字化转型通过生产赋能、要素协同助力涉农企业效率变革;通过研发赋能、跨界连接助力涉农企业动力变革。最后,从政府与企业视角,分别提出促进涉农企业数字化转型以实现质量变革,提升农业现代化水平的政策启示。
2025(1):121-133. DOI: 10.13300/j.cnki.hnwkxb.2025.01.011
摘要:农产品追溯信息是消费者诊断产品质量的重要参考依据,系统地总结农产品追溯的信息特征并深入分析其对消费者购买意愿产生影响的内在机理有利于进一步挖掘农产品追溯信息的市场价值。基于浙江、四川、上海等我国较早实行农产品追溯、经济相对发达的11个省市共405份消费者调查数据,对农产品追溯信息特征是否影响消费者购买意愿进行分析,从风险控制感和不确定性规避视角构建并检验农产品追溯信息特征对消费者购买意愿影响机理的模型。研究发现:农产品追溯信息质量、追溯信息源可信度与追溯标签使用限制正向影响消费者购买意愿,风险控制感在其中发挥部分中介作用;不确定性规避在农产品追溯信源可信度、风险控制感与购买意愿间起到负向调节作用,在农产品追溯信息质量、标签使用限制与购买意愿间的调节作用不明显。基于此,为进一步推动可追溯农产品消费者决策,从政府、企业和消费者三个角度提出了相应的政策建议。
2025(1):134-146. DOI: 10.13300/j.cnki.hnwkxb.2025.01.012
摘要:专业化和绿色化是现代农业的发展方向,在资源和环境双重约束逐步趋紧的现实背景下,专业化生产对农业环境技术效率的影响具有重要意义。在对种植专业化与农业环境技术效率关系进行理论分析的基础上,基于环渤海设施蔬菜优势产区452个种植户样本数据,借助包含非期望产出的超效率SBM模型测算农业环境技术效率,并使用Tobit模型就种植专业化对农业环境技术效率的影响进行了检验。结果表明:(1)样本种植户平均环境技术效率为0.521,仍有较大提升潜力;(2)分设施类型来看,相较于温室生产,大棚生产种植户因绿色管理和技术水平更高而具有较高的环境技术效率;分省份来看,样本种植户环境技术效率由低到高依次为天津、北京、山东、辽宁和河北;(3)种植专业化会显著提升农业环境技术效率,在经过稳健性检验和克服内生性问题后,该结论仍然成立;(4)相较于种植规模大、人力资本水平高的农户,种植专业化对小规模种植户、人力资本水平较低农户的农业环境技术效率提升效果更加明显。因此,加强对专业化种植户的政策和绿色生产技术支持,因地制宜、分类施策鼓励专业化生产,是推动农业生产绿色低碳转型的有效途径。
2025(1):147-156. DOI: 10.13300/j.cnki.hnwkxb.2025.01.013
摘要:乡村发展与乡村治理是国家发展的基石和国家治理的两大核心任务。近年来,多项顶层设计与公共政策将乡村发展与治理进行集成耦合,在很大程度上改变了传统乡村只有发展无治理,或重视发展而悬浮治理的现状,通过发展与治理从资源的耦合设计推动乡村振兴,运用2012-2022年的统计年鉴数据,从输入型、内生型、输出型三种资源入手,通过耦合协调度模型来评估乡村发展资源与治理资源的耦合协调程度。研究发现,双螺旋耦合结构在时间序列上是一种动态耦合和间断均衡,在不同的梯度能量作用下使耦合区间呈现多种形态;两大子系统双螺旋耦合迭代功能的实现更加依赖于协调度指数的作用;乡村发展与治理资源耦合系统的响应速度在内外部环境的作用下越来越慢,但系统的稳定性越强。最后,针对上述研究结论和可能的形成机理提出了对策建议,以促进乡村振兴和治理现代化等目标的顺利实现。
2025(1):157-167. DOI: 10.13300/j.cnki.hnwkxb.2025.01.014
摘要:加快发展农业新质生产力,是新时代新征程建设农业强国、实现农业高质量发展的关键举措。以科技创新激励为重点、资源配置优化为导向、产权价值转化为关键的知识产权赋能农业新质生产力,有助于推动农业综合生产能力稳步提升、加快农业产业全链条优化升级和培育农业国际合作竞争新优势。面对数字化转型中农业知识产权授权和保护难度提高、“重保轻用”范式导致农业知识产权运用转化受阻、国际利益调整失衡下农业知识产权全球治理失位等现实阻碍,为实现农业新质生产力充分涌流,实现法治引领下动态化利益平衡格局的重塑是重中之重。具体实践进路应包括在数字化转型中有序更新农业知识产权授权保护规则、在场景驱动中妥善疏解农业知识产权运用转化链条梗阻、在主权博弈中扎实推进农业知识产权全球治理体系革新。
2025(1):168-179. DOI: 10.13300/j.cnki.hnwkxb.2025.01.015
摘要:随着乡村振兴战略的全面深入实施,村干部专职化日益成为各地探索推进乡村治理体系建设的重要组织方式。基于2022年10省(直辖市)的微观调查数据,实证分析村干部专职化对乡村治理有效性的影响。研究发现:村干部专职化对乡村治理有效性整体上具有显著正向影响。具体来看,村干部岗位公职化、管理规范化对乡村治理有效性的影响显著为正,晋升制度化和发展持续化对乡村治理有效性的影响尚不显著。机制分析表明,村干部专职化通过影响乡村治理数字化水平和村集体经济收入水平进而对乡村治理有效性产生影响。异质性分析表明,村干部专职化对东部和中部地区村庄以及近郊村和中郊村的乡村治理有效性的影响显著为正,但对西部村庄和远郊村的影响显著为负。据此提出因地制宜推行村干部专职化、强化村干部的原则性和服务意识、稳慎推广利用数字技术创新乡村治理模式、发展壮大农村集体经济提升乡村内源性发展能力。
2025(1):180-193. DOI: 10.13300/j.cnki.hnwkxb.2025.01.016
摘要:“全民健康”是健康中国战略的根本目的,心理健康为实现乡村振兴和防止返贫提供了必要的人力资本基础。基于压力过程理论,采用2021年湖北省J县744份易地扶贫搬迁移民的微观调研数据,从生计发展适应、基本生活适应、人际交往适应、情感适应四个方面构建社会适应指标,重点分析移民社会适应对心理健康的影响,并实证检验搬迁前耕地面积的调节效应。研究表明,首先,易地扶贫搬迁移民心理健康风险是乡村全面振兴工作亟需干预的关键问题,生计发展适应是社会适应的突出短板;其次,社会适应对心理健康具有显著正向影响,该影响效应存在群体差异,在老年群体、非城镇安置群体以及无非农工作经历群体中,社会适应的心理健康改善效应有限;再者,耕地是农民生计发展和情感寄托的关键要素,对于“以农为生”和“以农为业”的农民而言,搬迁会对他们造成离地冲击,这种影响随着搬迁前耕地面积扩大而放大,搬迁带来的离地冲击越大,搬迁后的社会适应对心理健康的促进效应越明显。上述结果在使用工具变量缓解内生性问题之后仍然成立。基于此,提出在推进健康中国建设、落实乡村振兴与巩固易地扶贫搬迁成果的政策制定中,应从多维度增强移民社会适应,提高安置社区治理与服务水平,促进移民社会交往,增强移民社区认同;应加强社区心理健康宣传教育,提高移民心理健康素养,做好心理帮扶;面对离地产生的生计和情感冲击,应将保障移民有效就业与收入稳定作为搬迁帮扶的基础工作。
2025(1):194-205. DOI: 10.13300/j.cnki.hnwkxb.2025.01.017
摘要:如何在释放人口生育潜力的同时保障农村女性劳动力充分就业是我国社会发展面临的重大现实问题。选取中国家庭追踪调查(CFPS)2014、2016、2018与2020年四期数据,采用双重差分模型实证检验生育政策调整对农村女性劳动力非稳定就业的影响。研究结果表明,生育政策的调整增加了农村女性劳动力的非稳定就业,在女性群体中间具有年龄异质性;在农村男性与农村女性之间具有区域异质性。生育政策调整不仅影响农村育龄女性的非稳定就业,还对非政策目标群体的农村女性劳动力就业空间产生挤压。促进人口结构均衡发展与农村女性高质量就业,需要同时关注生育政策目标群体与非目标群体的就业保障以及长期生育政策导致的环境差异,才能发挥政策工具效果以应对人口转型与经济发展的时代需求。
2025(1):206-214. DOI: 10.13300/j.cnki.hnwkxb.2025.01.018
摘要:基于共建共治共享视角分析政府引导社会资本赋能全域土地综合整治的影响,构建政府和社会资本的演化博弈模型,采用湖北省全域土地综合整治的调研数据,对政府和社会资本的演化趋势和行为策略进行动态仿真。研究发现:共建共治共享从主体、工具和价值维度指明了政府引导社会资本赋能全域土地综合整治的影响因素和行为逻辑;共建共治共享有助于促成政府和社会资本的正向合作博弈,初始意愿、政府补贴、政府监管、企业成本是影响双方行为策略的关键因素;关键因素的变化能对社会资本的行为策略产生不同性质和程度的影响。对此提出:政府通过出台激励政策,整合部门资源,落实奖罚措施等手段,有助于科学引导社会资本赋能全域土地综合整治,促进整治模式从政府强势主导向多元主体共建共治共享转型。
您是本站第 4754718 访问者 
通信地址:武汉市洪山区狮子山街1号
邮编:430070 传真:010-84321139
电话:027-87287002 E-mail:hnwkxb@mail.hzau.edu.cn
版权所有:华中农业大学学报(社会科学版) ® 2026 版权所有