2024(5):1-9. DOI: 10.13300/j.cnki.hnwkxb.2024.05.001
摘要:党的二十届三中全会对完善城乡融合发展体制机制作出全面部署,要求必须统筹新型工业化、新型城镇化和乡村全面振兴,为新时代新征程上推进乡村全面振兴,加快农业农村现代化更好推进中国式现代化指明了方向,提出了更高要求。进一步全面深化改革,有力有效推进乡村全面振兴,必须更加注重把握进一步全面深化改革确定的方向,持续推进乡村全面振兴;更加注重改革系统集成,统筹提升“三个乡村”水平,促进城乡融合发展;更加注重改革重点,守住“两条底线”,凝聚振兴合力,夯实推进乡村全面振兴的基础和动能;更加注重遵循城乡融合发展视野下乡村全面振兴的改革原则,走好中国特色乡村振兴道路。
2024(5):10-21. DOI: 10.13300/j.cnki.hnwkxb.2024.05.002
摘要:发展新质生产力是推动农业高质量发展的内在要求,是加快建设农业强国的必由之路。农村人力资本是农业领域的新质生产力形成和发展的基本要素,高素质农村劳动力通过推动高科技应用、促进高效能生产、助推高质量产出,对农业高质量发展展现出强劲的推动力。党的十八大以来,我国农村人力资本水平不断提升,农业先进技术推广应用不断提速,农业高效能生产基础较为扎实,农业高质量产出取得明显进展。但面向农业领域发展新质生产力应用高科技、生产高效能、产出高质量的特征要求,我国仍然存在高素质农业劳动力规模不足、结构不优,农村本土人才培育机制有待完善,农村地区引才聚才存在困难,农业科技创新基础不足、推广应用受限等问题。新阶段新征程上应锚定建设农业强国目标,以人力资本为引擎,助推新质生产力发展,即激发农村人力资源潜能,创新农村本土人才培育机制,健全乡村引才聚才机制,加快农业科技成果转化应用。
2024(5):22-31. DOI: 10.13300/j.cnki.hnwkxb.2024.05.003
摘要:因地制宜发展新质生产力,对推进农业产业转型升级,助力农业强国目标具有重要意义。农村金融体系作为涉农产业的资源配置手段,在其中发挥着重要作用。农村金融体系通过支持农业科技创新、推动农业现代化进程、促进生产要素协同发展这三条路径,培育并促进新质生产力发展。但是当前农村金融体系存在一系列不足,如支持农业科技创新方面渠道不足、促进农业规模化生产和生产要素协同作用较弱、风险管理方面风险分摊机制不健全。针对这些问题和难点,提出了一系列聚焦农村金融体系服务新质生产力发展的着力点:一是拓宽新质生产力融资渠道,提升对农业科技企业的金融服务质量和效率;二是以农村金融手段强化农业生产要素之间的协同作用,推动新质生产力实现高效整合;三是提升农村金融产品对农业生产风险的保障水平,强化金融风险管理能力。
2024(5):32-43. DOI: 10.13300/j.cnki.hnwkxb.2024.05.004
摘要:数字技术作为近年来蓬勃发展的新兴动能与新质生产力的重要代表,亦为农业现代化转型提供了重要驱动力。深析其机理,数字技术同农业产业的融合能够纵向驱动全链条的优化创新与延伸互融,横向促进多业态的融合发展;数字技术同农业生产的融合能够助益效率、品质、成本、生态效益多环节的全方位提升;数字技术同农业经营的融合能够赋能经营主体与经营服务的优质化转型。而今伴随数字技术架构的深入铺开,在其巨大的辐射效益下,农业产业功能价值日臻拓展,农业生产质效持续提升,农业经营方式改造优化,农业主体利益大幅增进。然而也必须看到,囿于顶层设计的滞后性、数字农业主体能力的失衡性、技术设施支撑的薄弱性,数字技术同农业体系的进一步深度交叉融合面临制约。系统思考深度推进数字赋能农业现代化的未来路径,应聚焦政策保障、主体赋能、技术设施供给三大破题口,强化支撑、补齐短板,为农业领域的模式变革与转型升级注入强劲数字动力。
2024(5):44-56. DOI: 10.13300/j.cnki.hnwkxb.2024.05.005
摘要:农地规模经营是促进农业绿色发展的重要路径。连片规模作为农地规模的一种特殊形式,能否带动农户进行农业绿色生产,是值得讨论的重要话题。利用2017-2019年广东省阳山县的农户追踪数据分析水稻连片种植对农业绿色生产的影响,结果表明:第一,农户开展连片种植能够显著促进化肥与农药投入的减量,即连片种植显著促进了农户的绿色生产行为。经多种稳健性检验后结果依然成立。第二,机制分析发现,连片种植农户通过增加机械服务外包环节和提升机械服务外包契约化程度等路径实现绿色生产。第三,异质性分析表明,小经营规模农户和小地块规模农户开展连片种植后,更能够促进其进行农业绿色生产。第四,情景分析表明,在承包地完成了农地确权和村庄内拥有高信任水平的情景下,连片种植会强化农户的绿色生产行为。由此提出,鼓励农户开展连片种植,发育农业生产性社会化服务市场,有助于将小农户卷入农业绿色化发展进程之中。
2024(5):57-71. DOI: 10.13300/j.cnki.hnwkxb.2024.05.006
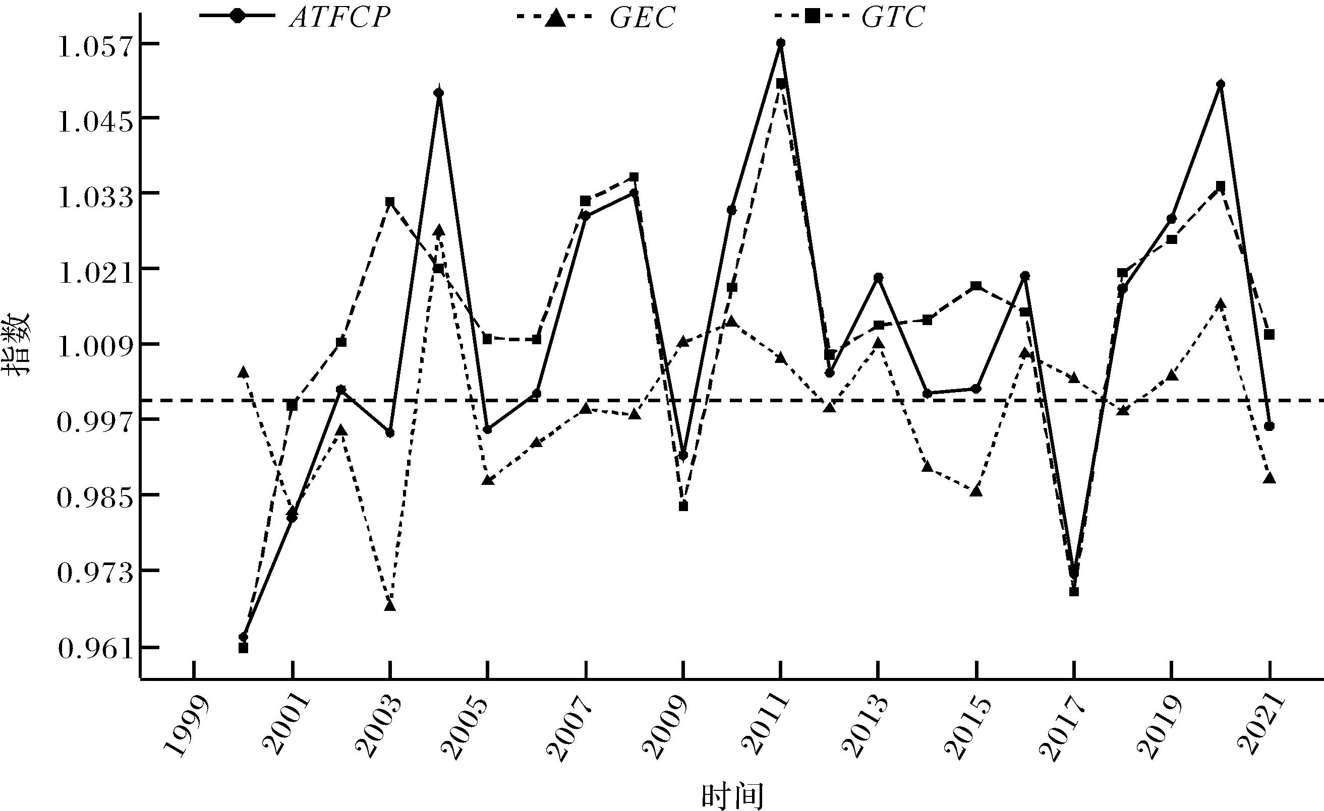
摘要:准确评估农业低碳发展绩效,识别其时空演化特征和趋势,是科学制定低碳农业发展政策,实现农业经济增长与生态环境和谐共进的现实需要。首先基于SBM函数和GML指数测算1999-2021年中国269个城市农业全要素碳生产率(ATFCP),然后使用Dagum’s Gini系数刻画其空间分异特征,最后采用空间面板模型检验其收敛性。实证结果表明,中国农业全要素碳生产率总体呈上升趋势,且主要由技术进步驱动。ATFCP空间分异程度逐年扩大,主要来自各省级行政区间的差异(58.10%),其次为超变密度(38.15%),各省级行政区内部差异最小仅为3.75%。ATFCP不存在
2024(5):72-81. DOI: 10.13300/j.cnki.hnwkxb.2024.05.007
摘要:农户兼业化是农民分化的重要特征,如何促进小农户与现代农业有机衔接是党的十九大提出的重大命题,探讨农户兼业、农业生产性服务对农业生产效率的影响十分必要。基于全国农村固定观察点数据,利用内生转换Probit模型评估农户兼业对农业生产性服务采用的影响,进一步运用似不相关双变量Probit模型和控制函数法实证分析两者对农业生产效率的联合效应。研究表明:农户兼业有利于提升农业生产性服务的采用;农户兼业和农业生产性服务能够显著提高农业生产效率,相较于专业性农户和自有机械农户而言,兼业农户和外购机械服务的农户拥有更高的生产效率。由此认为:应积极培育新型农业经营主体,拓展服务领域,创新服务方式,引导农户进入现代农业发展轨道;正确认识农户兼业化的发展趋势,引导农户调整农业生产要素投入结构,减轻农户兼业可能对农业产生的负面影响。
2024(5):82-94. DOI: 10.13300/j.cnki.hnwkxb.2024.05.008
摘要:技术进步和技术效率改善是促进粮食产业高质量发展,保障粮食安全的重要路径。随着水稻种植规模和稻农密度的增加,要素空间集中形成的集聚外部性不仅能够有效提升行业技术水平,而且还可以改善稻农技术非效率。基于湖南省2014-2020年间1248份水稻种植户微观数据,采用超越对数随机前沿生产函数模型,将表征集聚经济效应的种植规模和稻农密度,同时纳入前沿函数和技术非效率项中,综合考察集聚外部性对稻农全要素生产率的影响。研究结果发现:无论是水稻种植规模还是稻农密度,都显著地促进了水稻生产技术进步,提升了农户技术效率;两种集聚变量的产出弹性均为正,共同推动水稻产出前沿面外移;分地形和分农户种植面积的异质性回归结果与基准回归结果一致,结论具有稳健性。据此提出,水稻种植区要完善基础设施,利用土地政策满足农户需求,提升农业生产效率;利用土地整治等农田建设手段改善细碎化问题,推动村组生产专业化和规模化;通过改革土地制度、强化支持政策,结合地方实际优化农业结构,发挥水稻种植的规模和密度经济效应,提高全要素生产率。
2024(5):95-109. DOI: 10.13300/j.cnki.hnwkxb.2024.05.009
摘要:提升农业全要素生产率是建设农业强国和推进农业现代化的重要抓手。基于2008-2019年全国278个地级行政区的数据,运用随机前沿分析测算了农业全要素生产率增长率,实证分析银行业竞争对农业全要素生产率增长的影响。结果显示:银行业竞争显著促进了农业全要素生产率增长,这种增长效应主要体现在农业技术进步上;机制分析表明,银行业竞争可以通过激励农业科技创新和促进农业服务业发展来提升农业全要素生产率;比较不同类型商业银行的影响后发现,相对于国有大型商业银行,农村商业银行、村镇银行和城市商业银行在促进农业全要素生产率增长方面具有比较优势,适度竞争能激励银行比较优势的发挥;异质性分析发现,银行业竞争更有效地提升了东中部地区、粮食主产区和农业保险发展水平较高地区的农业全要素生产率。据此,提出深化银行业金融机构体系市场化改革、鼓励各类商业银行错位竞争和因地制宜适度提升区域银行业竞争水平的建议。
2024(5):110-121. DOI: 10.13300/j.cnki.hnwkxb.2024.05.010
摘要:基于全国100个丘陵山区县4074份农机户的样本数据,考察了农田宜机化水平对农机户农机服务供给行为的影响及作用机制。研究发现:农田宜机化水平能够提升农机户农机服务供给概率与服务供给水平,且对农机户农机服务供给水平的影响在服务供给环节数与服务供给面积两方面均显著为正。机制分析发现,农田宜机化水平通过扩大农机服务市场规模,进而提高农机户的农机服务供给概率与环节数,通过提升农机的作业效率,进而增加农机户的农机服务供给面积。异质性分析发现,农田宜机化水平提升对青壮年农机户农机服务供给的促进作用大于中年农机户,对老年农机户农机服务供给水平以及经营规模小于50亩的农机户农机服务供给环节数的影响不显著。
2024(5):122-133. DOI: 10.13300/j.cnki.hnwkxb.2024.05.011
摘要:农民主体性参与是推动乡村建设行动有效实施的关键,其作用发挥不仅要以提高农民参与能力为基础,更要通过优化治理结构保障农民参与权利。基于鲁镇乡村建设行动案例,发现其陷入了农民参与的主体性缺失困境,表现为农民的被动参与、消极参与和牟利参与,违背了主动性、积极性和公益性参与的初衷。权利挤压是农民主体性参与缺失的生成逻辑:为了顺利开展高标准乡村建设行动,地方政府凭借与村庄精英和工商资本的目标合意形成利益共同体,并基于资源共注和收益分配强化利益整合。在此基础上,地方政府、村庄精英和工商资本分别以行政约制、有限动员和机会隔离的方式,排斥目标不同、资源不足的普通农民,这挤压了农民参与的权利,导致农民主体性参与缺失。破解农民参与的主体性缺失困境,需要适当给予基层自由裁量权、创新专项资金的使用方式、强化农民参与的责任意识以激活村社集体,以保障农民参与的权利。
2024(5):134-142. DOI: 10.13300/j.cnki.hnwkxb.2024.05.012
摘要:社会资本已成为推动宜居宜业和美乡村建设的重要力量,破解社会资本参与和美乡村建设的“悬浮化”问题对加速乡村振兴意义重大。研究发现,社会资本借助组织嵌入、资本嵌入、关系嵌入、文化嵌入等方式重塑乡村社会治理格局,为宜居宜业和美乡村建设注入强大动能。然而,在与乡村多元力量动态博弈的过程中,社会资本与基层自治的间断张力、形式嵌入与实质融入的经营权衡、资本生产与农民群体的脱嵌遭遇、工商文化与小农文化的交织碰撞等复杂境况使得社会资本陷入角色悬浮、项目悬浮、制度悬浮、理念悬浮等脱嵌困境。为此,基于融合共生的发展导向,从激活共生单元协同力、加快形成共生意识、强化共生关系维系、促进城乡文化融合四个维度构建社会资本参与和美乡村建设的共生新图景,推动社会资本从“脱嵌悬浮”向“融合共生”转变。
2024(5):143-154. DOI: 10.13300/j.cnki.hnwkxb.2024.05.013
摘要:农村女性公共参与是妇女发展的重要内容。随着基层治理转型,农村女性不但在村干部职数中占比增加,而且越来越多女性占据权力结构核心地位,村庄层面“妇女当家”现象明显。与男性村干部相比,女性村干部注重服务意识、以心换心,能够守规矩有底线,女性参与村级治理具有柔性治理、情感治理和规范治理特征。基层治理转型下村级行政化和村干部职业化,村庄内部事务由利益纠纷型转向社会动员型,女性为谋求效用最大化的家庭发展策略,主动参与到村级治理中,满足其经济、抚育和赡养等多重复合性目标。从影响来看,农村女性参与村级治理有助于构建回应型基层政府和平权型村级权力结构,促进多元共治格局,提升女性村庄话语权。随着越来越多农村女性成为村干部,政府应该加强乡村治理中的女性领导力,为女性村干部提供有利的外部支持系统。
2024(5):155-166. DOI: 10.13300/j.cnki.hnwkxb.2024.05.014
摘要:根据行政命令与行政处罚的实际执行情况,基层执法模式可以划分为“严治严惩”“宽治宽惩”“宽治严惩”“严治宽惩”四种类型。其中,“严治宽惩”模式表现为“严格处置违法行为、宽松处罚违法相对人”,主要适用于具备适度合理性、高危害性、低信息不对称性与低经济价值的违法行为。基于A省C县秸秆禁烧执法的案例研究,尝试以违法事件属性所塑造的三重张力——法律现实张力、多重目标张力与避责策略张力阐释“严治宽惩”的生成逻辑,并提出违法行为恶劣、领导注意力投射以及产生社会影响等特定条件下的“严治严惩”是其重要保障机制。“严治宽惩”内生于中国独特的基层治理场景,反映出基层干部在有限财力与技术约束下,在国家与社会、政策与现实之间维系平衡的灵活与智慧。
2024(5):167-180. DOI: 10.13300/j.cnki.hnwkxb.2024.05.015
摘要:基于2022年湖北省村户调查数据,结合现行低保政策规定与实践中存在的收入核减和“单人保”情况,依据事前收入“整户保”、核减事前收入“整户保”和核减事前收入“单人保”三种低保资格认定方式,分析不同低保资格认定方式下的农村低保瞄准偏差,并使用双重机器学习方法检验村级乡村治理手段创新对农村低保瞄准偏差的影响。研究发现:农村低保瞄准偏差较大,已有研究认定低保应保对象时,忽略了收入核减和“单人保”情况,存在低估漏保率和高估错保率的缺陷。实证检验表明,村级乡村治理手段创新对农村低保瞄准偏差具有显著且稳健的改进效应。据此,应加大积分制、清单制和数字化等乡村治理手段创新的完善和推广力度,进一步完善救助对象主动发现和认定方式。
2024(5):181-192. DOI: 10.13300/j.cnki.hnwkxb.2024.05.016
摘要:提升农民幸福感是社会发展的终极目标,利用2020中国乡村振兴调查(CRRS)的数据,探讨村庄民主对农村居民幸福感的影响、作用机制与群体差异。研究表明,村庄民主中蕴藏着幸福效应,村庄民主可以显著提升农村居民的幸福感。与此同时,路径机制分析显示,村庄民主可以通过增强农村居民的政治信任、抑制基层腐败以及改善农村居民居住环境的主观感受等途径增进农村居民的幸福感。此外,异质性分析显示,村庄民主可以显著影响高中学历以下、60岁及以上以及完成了农村宅基地确权的农村居民的幸福感。因此,为提升农村居民的幸福感,可以从重视村庄民主过程,提升农民民主参与;维护干群关系,增进政治信任;改善乡村人文环境,推进和美乡村建设;完善监督机制,加强腐败治理;关注老年群体的民主事项和农村居民的财产稳定性等途径着手。
2024(5):193-202. DOI: 10.13300/j.cnki.hnwkxb.2024.05.017
摘要:乡村振兴背景下,将全过程人民民主的制度优势融入基层社会治理实践,农村基层全过程民主治理是基层民主实践的具体形式,体现出全过程人民民主的真实性和有效性。国家资源下乡为农民提供基本公共服务,外部资源输入的项目化管理方式,脱嵌于基层社会治理过程,影响农民参与性和乡村治理效能提升。资源下乡与基层全过程民主治理实践相结合,以农民生产生活现实需求为中心,通过民主动员的需求表达、民主协商的利益整合、民主决策的需求转化、民主参与的需求回应、民主监督的权责平衡等运行机制,实现资源下乡、基层民主与乡村有效治理的有机统一。资源下乡嵌入农村公共事务治理过程,通过资源下乡和农民动员,激活农村基层全过程人民民主治理体系,为农民群众在创造美好生活中的主体作用发挥提供体制机制保障,是新时代国家资源下乡与乡村治理现代化建设的重要探索方向。
2024(5):203-213. DOI: 10.13300/j.cnki.hnwkxb.2024.05.018
摘要:土地利用被认为是第二大碳排放源,国土空间用途管制统筹兼顾城镇、农业、生态空间的发展,对实现“双碳”目标具有重要的推动作用。系统剖析绿色低碳目标下国土空间用途管制的内涵特征、内在机理与理论逻辑,探寻与“双碳”目标相适应的国土空间用途管制减排增汇转型路径。结果表明,我国逐步构建全域、全链条、系统性的国土空间用途管制制度,由以农用地和建设用地为主的“单要素”逐步向包含生态空间在内的“全要素”管制转变。在此过程中推动绿色低碳转型,就要将“生态优先、绿色发展”的理念融入发展建设中,以“生态空间自然增汇—城镇和农业空间技术减排”为具体举措,构建“全域空间识别—精细分区管制—创新管制工具—完善配套制度”的全链条实施路径。气候变化背景下的绿色低碳空间转型意味着兼顾开发和保护,将“双碳”目标融入空间发展,全域空间共同建设高质量、可持续的国土空间。
您是本站第 4754718 访问者 
通信地址:武汉市洪山区狮子山街1号
邮编:430070 传真:010-84321139
电话:027-87287002 E-mail:hnwkxb@mail.hzau.edu.cn
版权所有:华中农业大学学报(社会科学版) ® 2026 版权所有