人工智能发展对农业生产率的影响:基于跨国面板数据的实证分析

周晓时1,李俊鹏2,吴清华3*

(1.北京大学 国家发展研究院,北京 100871;3.华中农业大学 经济管理学院,湖北 武汉 430070;3.湖北科技学院 经济与管理学院,湖北 咸宁 437100)

摘 要 人工智能是促进21世纪新一轮产业变革的核心技术,全面影响经济社会发展。结合人工智能在农业领域应用的现状,参考Acemoglu 等的理论框架,以1991-2018年世界银行和国际机器人联合会的国别数据为样本,实证分析其对农业生产率的影响及其作用机制。实证结果表明:(1)以劳均农业产值为农业生产率衡量指标,人工智能对农业生产率具有正向促进作用;(2)在作用机制方面,对农业劳动力具有显著的替代效应,但对产业结构尚未发挥出显著影响。此外,在异质性分析方面,人工智能对高收入国家农业生产率具有显著促进作用,对中低收入国家具有抑制作用。因此,发展现代农业,需大力推动人工智能在农业领域的发展与应用,促进农业劳动力转移,提高农业生产率。

关键词 人工智能; 农业生产率; 就业效应; 产业结构效应

人工智能是促进当前全球经济高质量发展的重要技术。具体而言,人工智能可以提高劳动生产率和资本效率,加速社会创新,推动国民经济各部门高质量发展,提升经济社会发展质量,其影响较以往的技术进步更为深刻[1]。21世纪以来,大数据、云计算、深度学习等相关技术发展,有力促进了人工智能发展,引起主要工业化强国推动此前沿技术的研发和产业化应用。其中,2017年中国政府发布的《新一代人工智能发展规划》明确提出,“到2025年,人工智能基础理论实现重大突破,部分技术与应用达到世界领先水平,人工智能成为带动我国产业升级和经济转型的主要动力,智能社会建设取得积极进展”。在这一背景下,人工智能的快速发展直接或间接影响农业的生产率、生产与经营的现代化水平,促进农业转型升级。

农业生产率提高是经济发展的重要基础。农业生产率增长是保障非农产业扩张和农业劳动力转移的必要条件,提高劳动力在产业间的配置效率,实现经济平衡增长和可持续发展的重要保障[2]。就未来一段时期的中国经济发展而言,增长动力将从与特定人口窗口相关的要素驱动型向生产率驱动型转变,而农业生产率提高是促进非农产业发展的重要动力源泉[3]。在农业的生产率与经营收入均相对低于非农产业的情况下,提高农业生产率还是实现增加农民长期性收入、缩小城乡和产业之间收入差距的重要方式。因此,如何在人工智能等科技快速发展的21世纪,提高农业生产率更是当前及未来一段时期的重要课题。

在全球老龄化条件下,加速农业机械技术与装备的智能化,是转变农业发展方式的客观要求。20世纪90年代,美国将全球定位系统安装到农业机械上,标志着智慧农业的开端。21世纪,农业机器人使部分劳动力从繁重、枯燥的劳动中解脱,加速全球农业产业结构转型,对农业全产业链产生重大影响[4]。农业生产实际表明,农业机器人应用仍面临一系列制约因素,例如高购买成本、农业生产季节性导致农业机器人投资的低收益,智能水平难以适应复杂农业生产环境的多变性,操作准确性有待提高。虽然人工智能正在改变农业生产方式,提高农业生产率,深化农业与市场的联系程度[5],但似乎并未对农业就业产生显著影响[6]。从已有文献来看,相对于受气候、耕地条件等自然因素影响较大的农业而言,有关人工智能的研究成果主要集中于宏观经济、非农产业领域。

在宏观经济方面,人工智能主要经由生产率影响经济增长。早期有关研究认为人工智能能够完成技能水平较低的体力劳动(1)当前,人工智能发展水平较高的国家,多为老龄化较为突出的国家。例如,世界银行的数据显示,2018年中国、美国、日本、德国、印度、俄罗斯、加拿大、法国、巴西、英国65岁及以上人口,分别为10.92%、15.81%、27.58%、21.48%、6.18%、14.67%、17.23%、20.03%、8.92%、18.40%。按照超过7%为老龄化的衡量标准,即除印度外,其他国家均进入老龄化阶段。,并通过“人机协作”方式提高劳动的生产率和效率,促进经济发展。随着21世纪工业机器人成为人工智能应用最普遍的领域,其存量被广泛用于衡量人工智能发展状况[6,10](2)在21世纪初, Autor等、 Frey等采用计算机资本作为人工智能或自动化的衡量指标,但目前更多的选用工业机器人。鉴于人工智能的最新技术在工业机器人领域的大量应用,以及近年各国政府的政策导向,此处仅回顾有关“工业机器人”的经典文献。。其中,王林辉等采用这种办法,分析人工智能的岗位替代效应和生产率效应,及其对劳动力收入不平等的影响[7]。然而,人工智能对生产率的影响受到其应用速度、与劳动力技能水平的匹配程度等因素制约[8]。在产业化应用方面,为了促进人工智能技术被投入生产,各国广泛采取激励性的财政政策或税收政策,降低相应技术采用成本。然而,与人工智能相匹配的高技能劳动力供给滞后于现实需求,出现人工智能使用未能产生预期的生产率提高,即“索洛悖论”难题[9]

除生产率和经济增长之外,有学者在工业就业方面展开相应研究。现有研究更多地得出人工智能对劳动力具有替代效应,减少就业总量的结论[1,10-12]。例如,陈彦斌等认为,人工智能的自动化程度比传统机械更高,对劳动力的替代效应更大[12]。但这些成果忽视了人工智能发展水平难以满足部分非常规工作要求,且技术发展可能产生新的就业岗位,与企业层面广泛存在的“人机协作”现象不符[13]。此外,人工智能作为有偏的资本密集型技术,其替代作用主要取决于对劳动或资本的替代弹性、产业生产方式,对就业和产业结构的影响存在不确定性[14]。在当前人工智能尚处于弱人工智能阶段,Daugherty等研究发现人工智能并没有减少就业,或仅仅影响劳动力市场的就业结构[13]。在劳动力异质性方面,群体之间以及其内部存在较大的异质性,不同类型劳动力受到的影响存在较大差异。其中,Autor等、Acemoglu等学者证实存在“就业极化”(中等技能劳动力需求减少,而高技能和低技能的劳动力需求增多)[10-11]

劳动力由生产率较低的农业向非农产业转移,是经济发展的必然趋势。因此,在发展中国家存在相对剩余农业劳动力的情况下,人工智能发展会影响产业间劳动力配置和农业转型。然而,广泛收集国内外相关文献的过程中,暂未发现定量研究人工智能对农业影响的文献。这就引发了一系列的疑问——人工智能对农业生产率发展存在何种影响?其中的作用机制表现为何种形式?对不同的经济发展水平国家而言,这种外溢效应是否表现出异质性?为探析以上问题,本文沿用学术界普遍采用的机器人作为人工智能替代变量的做法,结合Acemoglu 等的理论模型[11],采用1991—2018年49个国家的面板数据,实证分析人工智能对农业生产率的影响。在检验实证结果稳健性的基础上,进一步从就业效应、产业结构效应两个方面,展开作用机制分析。并结合经济发展阶段,分析人工智能对农业生产率的异质性影响。

一、理论模型

Acemoglu等提出封闭经济条件下技术进步影响经济的理论框架,即包括劳动力替代效应、生产率效应和产业结构效应的影响机制[11]。虽然该框架考察的是对就业的综合效益,但指明了技术进步影响经济发展的具体形式,对分析人工智能对农业生产率的影响具有重要参考价值。具体而言,该理论模型表述为:

(1)

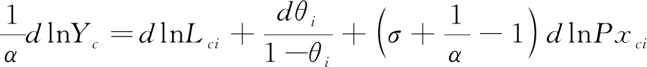
在式(1)中,L为产业就业总量,ic分别为地区、产业,i=1,…,nθ为人工智能可以完成的工作量占比,0<θ≤1;α为人工智能投入的资本量占比,0<α<1;Y为产业c的产品总量,且σ为产业间产品的替代弹性系数;Pi地区c产业产品x的价格。(1)式表明对就业的综合效应可以分解为三部分,即替代效应、生产率效应、产业结构效应[11]。对式(1)移项后,可得到人工智能影响生产率的表达式,即:

(2)

由式(2)可知,通过简单的移项处理后,原有对劳动力的替代效应和就业综合效应均体现为劳动力变化,即人工智能影响农业生产率的作用机制主要体现为就业效应、产业结构效应。其中,在就业效应方面,作为一种偏向型技术进步的人工智能,随着其产业化应用,对劳动力完成的工作量替代率θi增加,使得单位生产所需劳动力和产业内就业下降。同时,这种影响还受人工智能及其相关技术发展水平、资本存量、劳动力技能状况等因素影响,学术界对替代率θi尚没有统一的标准,难以有效实证分析人工智能对劳动力的替代效应,因此,此处仅集中分析对就业的综合效应。在产业结构效应方面,人工智能应用程度较高的产业具有要素、技术等方面的比较优势,其产业扩张需要从其他产业转移劳动力,导致农业就业和产值的占比变动。根据Romer的技术变革模型可知,随着人工智能应用引致产业间生产率变动,劳动等生产要素会实现优化配置,并直接或间接影响各产业就业和产值的占比,即产业结构变迁[15]。基于以上两个方面的分析,可以推断无论人工智能应用于农业还是非农产业,该项技术都会引起产业之间的生产要素配置变化,进而影响农业生产率。

二、实证设计与数据

1.实证模型构建

基于式(2)的基本思想,构建人工智能影响农业生产率的实证模型。鉴于固定效应模型可以解决不随时间、个体变化的遗漏变量问题,以及样本数据偏差较大问题。为了使因变量满足经典线性模型(CLM)假设,对因变量和自变量取自然对数,设定如下形式的固定效应模型:

(3)

式(3)中,因变量lnproductivity为对数化农业生产率;βai为人工智能(AI)对农业生产率(productivity)的弹性系数。下标nti分别表示国家、年份、所属的洲;unvtri分别表示国家的个体效应、时间效应、地区效应,εn,t为误差项。结合技术进步、不均衡增长理论等理论,采用controln,t表示其他控制变量,包括老龄化率、总体预期寿命、人均GDP、货物或服务进口额、货物或服务出口额、税收比重、总生育率、高等院校入学率,βj为各控制变量的系数。

基于式(2)可以发现,影响农业生产率的两个主要途径为就业效应和产业结构效应。为展开作用机制分析,将式(3)中的因变量分别替换为各国农业劳动就业占比、农业增加值占GDP比例,再进行实证检验。

2.数据来源与说明

本文采用世界银行和国际机器人联合会(IFR)的数据,主要是因为世界银行数据库在国别层面统计口径一致、具有较高的权威性;机器人是较为常用的人工智能衡量指标,而IFR是全球范围内有关机器人数据的最权威机构。基于数据可得性和一致性,本文选取1991年至2018年49个国家(国家的地区分布和具体名称,见表1)的数据作为样本。各变量解释说明如下:

表1 49个样本国家及其地域分布

注:资料系根据世界银行数据整理。

地域国家地域国家大洋洲(2个)澳大利亚、新西兰北美洲(3个)美国、加拿大、墨西哥欧洲(28个)奥地利、比利时、瑞士、捷克、德国、丹麦、西班牙、爱沙尼亚、芬兰、法国、英国、希腊、匈牙利、爱尔兰、冰岛、意大利、立陶宛、荷兰、挪威、波兰、葡萄牙、罗马尼亚、俄罗斯、斯洛伐克、斯洛文尼亚、瑞典、土耳其、乌克兰亚洲(12个)南美洲(3个)非洲(1个)中国、印度尼西亚、印度、伊朗、以色列、日本、韩国、马来西亚、菲律宾、新加坡、泰国、越南阿根廷、巴西、智利南非

(1)因变量农业生产率。参考Gollin等和Tombe的作法[2,16],以劳均增加值作为生产率的衡量指标,具体由各年份(以2010年不变美元价格计算的)农业增加值除以农业就业人口数量得出。其中,农业就业人口数量由农业就业占比与总就业人口相乘得出;根据世界银行的统计标准,农业就业人口包括农产品加工、提供农业生产相关服务的就业人口。

(2)解释变量人工智能。其是一种新型的通用信息技术,具有渗透性、替代性、协同性、创造性的经济-技术特征,能够广泛用于经济社会的各方面[1]。目前,国内外普遍缺乏有效的人工智能统计数据,参考Agrawal 等、陈彦斌等采用机器人数量作为替代变量的作法[12,17]。本文中的“机器人”是根据国际标准化组织(ISO)的定义:自动化控制、可编程、多功能、由三个及以上转轴的固定或可移动的工业装置。结合数据整理过程,需要特别说明以下问题:第一,针对部分国家保有量数据缺失,结合后续年份到港机器人数量,采用2018年IFR修订后的统计方法——当年机器人保有量等于近12年积累量,补齐2016—2017年16个主要国家(3)这16个国家为美国、加拿大、墨西哥、巴西、中国、印度、日本、韩国、泰国、越南、法国、德国、意大利、西班牙、英国、南非。的缺失数据;第二,《World Robotics 2008》中仅统计北美地区保有量,没有细分2005-2007年美国、加拿大、墨西哥的保有量,分别采用2004年三国GDP占北美地区总量的比例,乘以对应年份北美机器人保有总量得出。同理,针对2004—2007年的荷兰、比利时、卢森堡三国作为一个整体统计,采用类似方法得出荷兰、比利时的机器人保有量。

(3)控制变量。老龄化率,即65岁和65岁以上的人口占总人口的百分比,总人口是根据实际存在的人口定义确定。老龄化会降低劳动参与率和生产率,减少社会的储蓄和投资,减缓资本积累速度,制约经济增长[12]。因此,为应对这种人口结构变迁对产业和经济发展的不利影响,面临老龄化的国家会增加人工智能的应用,弥补本国劳动力供给不足[10]

预期寿命,是指假定出生时的死亡率模式在一生中保持不变,一名新生儿可能生存的年数。预期寿命提高可能会增加受教育年数、减少个体终生的劳动时间,并推迟社会整体退休年龄[18]

总生育率,为假设妇女度过整个生育期,并按照当期的年龄组别生育率所生育的孩子数。

人均GDP,采用国内生产总值(GDP)除以对应国别年中人口数获得该指标。GDP为经济体内所有居民生产者创造的增加值总和,加上产品税,并减去不包括在产品价值中的补贴。其中,计算时未扣除资产折旧或自然资源损耗和退化,并按2010年不变美元价格计算。

进出口额。进口额包括从其他国家或地区进口货物和服务的价值总和,按2010年不变价格计算。出口额与进口额统计口径一致。在开放经济条件下,进出口额是由国家生产要素禀赋、科技水平所决定的综合结果,但其对就业的冲击受到宏观经济状况、劳动市场结构、政策等因素制约[19]。针对除2010年之外,中国进出口数据缺失,根据2014年和2019年的《中国统计年鉴》中的相关数据,得出以美元计量的当年名义进出口数额,再以2010年不变美元价格的平减指数折算得出。

税收占比,即税收占各国当年GDP的比例。针对1991-2004年中国数据缺失,采用《中国统计年鉴2019》中的相关数据,根据归属中央财政税种与当年GDP总量计算得出。

高等教育入学率,即按国际教育分类标准(ISCED),不论年龄大小,第三级教育第一阶段(ISCED5)和第二阶段(ISCED6)的大学在校生总数,占中学之后 5 年学龄人口总数的百分比。人工智能发展的现实表明,高技能劳动力的数量及其占比相对更为重要,此处以高等教育入学率作为受教育水平的替代指标。针对部分国家2014—2018年的高等教育入学率数据缺失,采用均值插值法得出这5年的数据。

通货膨胀率为GDP隐含价格平减指数。具体是按照现价本币计算的GDP与按照不变价本币计算的GDP之比,其年增长率反映整个经济体的价格变动率。

此外,为展开作用机制分析,选取农业劳动就业占比、农业增加值占GDP的比重,分别作为衡量就业、产业结构的因变量。在遵循统计口径一致性、合理补齐少数缺失数据的情况下,以上各变量的描述性统计情况,见表2。

表2 样本数据描述性统计 N=919

变量名称符号单位均值标准差最小值最大值农业生产率Productivity美元25815.9635349.55451.03392306.05农业就业占比employment_ratio%14.9416.360.1968.58农业增加值占比Rate of agriculture%5.845.970.0440.49人工智能(台数)AI-23866.6570275.360.00632415.00老年化率ageing rate%11.904.913.0827.05总体预期寿命(实际岁数)life expectancy-74.665.7252.5784.10总生育率total fertility%1.860.621.084.25人均GDPGDPP美元23607.7118699.25448.0391617.28出口额export亿美元2632.833819.7243.2524958.26进口额import亿美元2631.243489.9238.2423105.53税收比重tax Rate%17.726.253.8635.09高等院校入学率higher education%46.1022.611.53111.75通货膨胀率inflation rate%24.56176.76-3.903334.80

三、实证分析与稳健性检验

1.基准回归分析

基于实证模型(2),以机器人作为人工智能的替代变量,分析对农业生产率的影响。结合相关学者的建议,此处同时控制个体、时间、地区(4)对于地区的划分,此处按亚洲、欧洲、非洲、大洋洲、北美洲、南美洲六大洲的地域概念划分。需要指出的是,在样本区间内地区并未随时间变化,因此地区固定效应被个体固定效应吸收,三维固定效应模型退化为二维固定效应模型。三个维度的固定效应。针对这种情况,采用高维固定效应估计方法,与传统方法相比,该方法具有以下优点:在克服样本异质性的情况下,增加固定效应的维度;突破传统估计方法收敛速度慢的局限性,特别是对样本量大、结构与内容较为复杂的数据而言[20-23]。同时,考虑到劳均增加值、机器人保有量,以及人均GDP、进口额、出口额存在绝对值相差较大,为消除异方差并便于计算,对这些样本数据取对数。由于各国家所处地区在样本期间并未发生变动,实际只能控制个体和时间两个维度的固定效应,最终得到实证结果表3。其中,第(1)和(2)列的解释变量系数较接近,表明模型估计结果比较稳健。根据含有控制变量的固定效应模型结果,机器人保有量对农业生产率的弹性系数为0.0077,即人工智能的应用增加1%会引致后者增加0.0077%。

表3 人工智能对农业生产率的影响

注: ******分别表示1%、5%、10%的显著性水平;系数下方括号内数值均为标准误;固定效应中包括个体、时间、地区三个方面的固定效应,下同;滞后解释变量一列是采用人工智能滞后一期作为核心解释变量进行估计的结果。

变量(1)固定效应(2)固定效应(3)OLS(4)滞后解释变量lnAI0.0073***(0.0025)0.0077***(0.0029)0.0121***(0.0046)0.0068**(0.0029)ageing rate-0.0451***(0.0100)0.0382***(0.0091)-0.0433***(0.0102)life expectancy0.0031(0.0083)0.0158***(0.0043)-0.0012(0.0086)total fertility0.2105***(0.0502)0.6375***(0.0775)0.2049***(0.0515)lnGDPP0.2918***(0.1063)0.7836***(0.0329)0.2809**(0.1106)lnexport0.1988***(0.0725)-0.4766***(0.1200)0.2450***(0.0745)lnimport-0.2115***(0.0719)0.3815***(0.1061)-0.2306***(0.0725)tax Rate0.0014(0.0041)0.0181***(0.0070)-0.0000(0.0042)higher education0.0036***(0.0011)0.0085***(0.0012)0.0035***(0.0012)inflation rate-0.0001(0.0000)-0.0002***(0.0001)-0.0001(0.0000)常数项9.3468***(0.0305)6.3756***(0.8922)-1.0915***(0.2383)6.6494***(0.9396)固定效应控制控制—控制N919919919875Adjusted R20.97160.97460.77130.9765

就弹性系数的数值大小而言,人工智能对农业生产率正向影响略微弱。导致这一状况主要是因为当前在农业乃至宏观经济中,人工智能尚处于弱人工智能阶段,技术本身及其应用领域还存在较大的发展空间,对农业生产率的促进作用暂未得到全面显现。21世纪以来,人工智能依然在决策能力、应用成本等方面有待发展,以至相关技术的现实应用通常需要人类辅助 [17]。在未来发展过程中,短期内突破技术“奇点”,实现快速响应环境变化并作出决策的难度较大。在农业领域,人工智能主要应用于生产灌溉、作物选择、播种与病虫害防止、辅助性灾害预测等方面,在一定程度上提高了农业生产各环节与市场的联系,但依赖于物联网的精准农业普及程度还很低。例如,英国的农业机器人与自动化系统(robotics and autonomous systems,RAS)涉及复杂多样的技术,目前仅得到极为有限的小规模应用,未来的推广需要在操作系统稳定性、多样性、环境适应性、与现有农机兼容性等方面实现技术创新[4]

2.稳健性与内生性检验

(1)稳健性检验。为了检验实证结果的稳健性,进一步采用基于OLS方法混合回归、替换人工智能变量为其滞后一期(滞后解释变量模型)实证分析,得出表3第(3)和(4)列的实证结果。结果发现,与表3第(2)列的固定效应模型估计相比,OLS、滞后解释变量模型的解释变量及控制变量的系数在方向、大小、显著性水平方面基本一致。与此同时,在后续部分将样本分为高收入国家、中低收入国家两类样本,实证结果满足“事实性显著”的特征,此处暂不做过多的说明。总之,这些结果均说明以上本文的估计具有稳健性。

(2)内生性检验。内生性产生的原因主要有遗漏解释变量、双向因果关系、测量误差。其中,遗漏解释变量问题可以被固定效应模型有效控制,而人工智能与农业生产率基本不存在事实上的反向因果关系(5)在稳健性检验中,本文将人工智能变量替换为其滞后一期,可以部分避免反向关系影响。。采用机器人作为替代变量来定量分析人工智能的经济社会影响[17],是目前学术界比较公认的作法。针对机器人统计,IFR作为全球性专业联合会,其成员包括各国主要的机器人生产企业、专业行业协会等组织,拥有大量而广泛的资料来源渠道,是目前全球最权威的机器人统计数据发布机构。基于以上分析和相关事实,可以初步判定文中不存在显著的内生性问题。

3.作用机制分析

无论是采用劳均增加值还是就业作为衡量指标,农业与非农产业的生产率差距长期存在,劳动力向非农产业转移是提高资源配置效率和全要素生产率(TFP),促进经济增长的重要因素[2]。结合式(2)的相关理论分析,以下从生产率效应、产业结构效应两个方面,分析人工智能对农业生产率的影响机制。

(1)就业效应。农业(劳动)生产率的提高取决于分母效应和分子效应,其中前一种效应主要由劳动力转移程度决定[3]。以各国农业就业占总就业比例为因变量,采用不同实证模型或估计方法得出实证结果如表4。通过对比是否纳入控制变量的固定效应模型、OLS模型、滞后解释变量模型估计结果,发现各模型中人工智能变量系数一致,显著为负。根据第(2)列实证结果,在添加控制变量后,人工智能对农业就业占比的弹性系数为-0.2532,在1%统计水平显著。这表明人工智能变量的机器人数量每增加1%,农业就业占比将下降0.25个百分点。这一结论与Acemoglu 等的发现一致,他们研究发现每千人拥有的机器人台数对就业的影响系数为-0.2%[11]。农业的现代化是伴随着劳动不断被挤出的资本密集化过程,人工智能在农业领域表现出较明显的劳动替代效应,正是农业现代化的特征表现之一。由于非农产业的人工智能产出弹性一般更大,其产出的价格相对下降、份额增加,将促使劳动力从农业得到补充(6)国际知名咨询机构普华永道的研究成果《人工智能和相关技术对中国就业的净影响》表明,2017-2037年人工智能对中国工业就业的影响偏中性,服务业预计新增就业岗位9700万,而农业就业岗位将下降2200万。[14]。但需要指出的是,对农业劳动的替代并不一定意味着人工智能必然替代劳动力,表现为对不同产业的就业有偏向影响,这取决于资本与劳动的替代弹性。

表4 人工智能的就业效应

变量(1)固定效应(2)固定效应(3)OLS(4)滞后解释变量lnAI-0.4342***(0.0241)-0.2532***(0.0249)-0.3493***(0.0582)-0.2489***(0.0246)常数项20.1739***(0.2990)100.9493***(7.6893)89.9878***(3.9408)101.0697***(8.0079)控制变量不控制控制—控制固定效应控制控制—控制N919919919875Adjusted R20.98190.98750.81290.9885

(2)产业结构效应。人工智能属于具有新型基础设施属性的通用技术,对劳动或资本可能产生有偏的替代,在不同产业的应用前景存在较大差异,其应用会引起产业结构变迁[14]。为分析人工智能经由产业结构效应对农业生产率的影响,以农业增加值占GDP的比例为衡量产业结构的指标。然后,采用固定效应模型、OLS方法以及滞后解释变量模型,得出的实证结果如表5,均说明人工智能发展会降低农业GDP占比,但该系数在添加控制变量后变得不显著。具体就农业领域而言,人工智能的发展及其产业化应用范围还比较有限,并未实现对农业生产方式的革命性变革,减少农业劳动力需求。因为在产业化应用过程中,规模经济可以降低人工智能的应用成本,促进生产率提高和要素替代,加速生产要素流向人工智能替代弹性更低的生产部门[14]。农业是自然再生产和经济再生产相统一的过程,其受自然因素的影响较大、生产的标准化程度低于非农产业,人工智能的使用水平及其对农业生产要素的替代效应均较低。因此,在当前的科技发展背景下,由于人工智能在农业中的应用较为滞后,其对农业GDP占比的影响还未显现。

表5 人工智能的产业结构效应

变量(1)固定效应(2)固定效应(3)OLS(4)滞后解释变量lnAI-0.1444***(0.0171)-0.0007(0.0177)-0.0978***(0.0224)-0.0039(0.0160)常数项7.5793***(0.2129)34.2695***(5.4647)30.8991***(1.4927)43.2040***(5.2044)控制变量不控制控制—控制固定效应控制控制—控制N919919919875Adjusted R20.93100.95250.80660.9618

此外,人工智能对农业具有负向的产业结构效应,也可能是由于收入变动、相对生产率变化等因素。“恩格尔定律”表明在收入增长过程中,收入需求弹性导致在内生性的需求结构中,富有弹性的产品消费增加,进而影响产业结构和技术创新偏向[24]。就收入需求弹性系数而言,农产品基本属于生活必需品、弹性系数较小,因此,随着人工智能技术提高人类生活水平,农产品的消费和价格增长滞后于其他产品。然而,产品之间的相对价格在一定程度上反映了产业间TFP的相对变动状况[21],而相对生产率变化是导致农业产业结构变迁的重要因素。具体而言,农业面临的地理条件和自然环境更为复杂,对技术应用的要求更高,使得该领域的人工智能产业化应用不及其他产业。此外,资本积累、技术创新的强度和偏向会影响要素投入结构及其边际生产率,引致产业结构变迁[19]

四、基于经济发展阶段的进一步分析

人工智能作为一项融合多种前沿技术、不断完善的新型信息技术,影响就业的广度和深度甚于传统技术。对非农产业的研究发现,人工智能对不同收入水平国家、产业、性别的劳动力具有异质性的影响[17]。为分析其潜在的异质性影响,考虑到样本量的国别差异,将样本国家分为高收入国家、中低收入国家。其中,按照世界银行分类标准,前者对应“高收入国家”,后者包括按“中上收入国家”“中下收入国家”和“低收入国家”三类国家。

基于以上样本分类的实证分析结果(如表6),表明在纳入控制变量后,人工智能对高收入国家、中低收入国家生产率的弹性系数分别为0.0294和-0.0057,即现阶段其对以上两类国家分别具有显著的正向促进作用和负向抑制作用。这可能源于以下两方面的原因:高收入国家是人工智能的研发和应用的主要推动者,高收入国家具有更多的高人力资本劳动力,能够实现高技能劳动力有效供给,满足人工智能发展和应用的人力资本要求,随着人工智能应用过程中生产率提高,其与中低收入国家的农业生产率差距进一步扩大;中低收入国家由于人力资本积累水平相对较低,特别是在农业生产领域,劳动与人工智能存在错配,不利于农业生产效率的提高。

表6 人工智能对农业生产率的异质性影响

变量高收入国家(1)固定效应(2)固定效应(3)滞后解释变量中低收入国家(4)固定效应(5)固定效应(6)滞后解释变量lnAI0.0195***(0.0065)0.0294***(0.0060)0.0257***(0.0061)-0.0085***(0.0028)-0.0057**(0.0029)-0.0045(0.0029)常数项9.9786***(0.1018)13.3897***(3.8886)10.8873***(3.9664)8.5147***(0.0239)4.6086***(0.7026)5.3658***(0.7321)控制变量不控制控制控制不控制控制控制固定效应控制控制控制控制控制控制N494494471425425404Adjusted R20.86980.90680.90760.97990.98420.9856

从相关技术的研发和应用来看,高收入国家在人工智能、国际贸易等方面具有比较优势。工业机器人是应用最为广泛、常被用于作为衡量标准的人工智能技术,以该技术为例,2018年在全球安装量前十的国家中,除了中国、墨西哥、印度外其余国家均为高收入国家;从机器人密度(每万劳动力拥有的台数)来看,排名前十的均为高收入国家,中低收入国家中排名最高的中国为第20位,为140台/万人。同时,在全球化过程中不同国家间农业生产率原本就存在差距(7)Tombe以劳均增加值为衡量指标,研究发现全球收入水平最高的10%国家的农业生产率,是收入水平最低的10%国家的100多倍。,国际贸易会加剧劳动力市场扭曲——为保护国内农业生产者利益和农产品多样化,农业补贴和关税会增加农业就业量,扩大低收入国家与高收入国家的生产率差距[15-16];在开放经济条件下,存在“林德效应”,即高收入国家可以配置更多的资源到高收入弹性的产业,且占比高于该产业的产品消费占比;低收入国家只能投入更多的资源到收入弹性较小的产业[24]

人力资本优势是导致人工智能对高收入国家农业生产率促进作用更显著的重要原因。从以高等教育入学率作为衡量指标来看,高收入国家在人力资本方面具有比较优势,能够促进本国人工智能等高科技发展和应用。以世界银行2017年数据为例(8)其中,高收入国家数量为35个,中低收入国家11个,乌克兰、土耳其、越南3个国家的数据缺失。,当年高收入国家的平均高等教育入学率为76.87%,而中低收入国家为42.95%,其中,中高收入国家、中低收入国家、低收入水平国家的平均高等教育入学率分别为46.66%、38.66%和27.44%。21世纪以来,人工智能应用使劳动力需求表现出“就业极化”现象[1,10]。在这种背景下,高收入国家的人力资本优势进一步凸显,能够提供数量更多的、与人工智能相匹配的高技能劳动力,促进生产率提高。此外,高等教育入学率也表明高收入国家的人力资本状况,整体优于中低收入国家,在机械化和自动化水平原本高于中低收入国家的情况下,较高的高等教育入学率能够为人工智能技术在高收入国家农业领域的应用创造更有利的现实条件。

五、结论与启示

农业生产率增长有利于优化资源配置,提升中国农产品国际竞争力和农民收入,而人工智能及其相关技术的产业化应用是实现中国经济社会组织形式优化、经济高质量发展的重要途径。基于Acemoglu 等的理论模型[11],采用跨国面板数据,以机器人存量作为人工智能的替代变量,实证研究发现:人工智能对农业生产率具有显著的正向促进作用;对农业劳动力具有显著的替代效应,但对农业GDP占比为代表的产业结构尚未产生显著影响;基于不同经济发展阶段的异质性分析,表明人工智能对高收入国家农业生产率具有显著的促进作用,而对中低收入国家表现出负向的抑制作用。

从世界农业发展过程来看,在未来的技术进步过程中规模化、智能化是未来发展的必然趋势。基于研究结论和中国农业发展现状,得出如下启示:(1)大力发展与农业相关的人工智能技术。为适应经济发展新形势,2015年发布的《中国制造2025》将农机装备作为重点发展的十大领域之一,明确农机装备信息化、智能化的重点发展方向。因此,在农业智能化水平还相对较低的阶段,有必要大力发展农机装备信息收集、智能决策、精准作业等核心技术;(2)大力促进人工智能技术在农业领域的推广与应用。首先,提高产学研的整合水平,促进人工智能相关技术在农业领域的产业化应用。在现实应用过程中,努力兼顾智能化技术水平提升与规模经济、降低使用成本,以“智慧农业”实现农业的规模经营和劳动生产率提高。其次,突破超小农业经营规模对新技术产业化应用的限制,为人工智能在农业领域的应用创造条件。通过发展适度规模经营的新型农业经营主体,重点扶持高学历的农场主、合作社主要管理者参与农业智能化,促进农业经济的规模效益与新技术采用的良性循环。此外,在提高农村地区互联网普及率的同时,加速无人采棉机、智能灌溉系统、可穿戴的农业智能设备等相对成熟的人工智能技术的推广和应用。

参考文献

[1] 蔡跃洲,陈楠.新技术革命下人工智能与高质量增长、高质量就业[J].数量经济与技术经济研究,2019(5):3-22.

[2] GOLLIN D,LAGAKOS D,WAUGH M.The agricultural productivity gap[J].Quarterly journal of economics,2014,129 (2):939-993.

[3] 蔡昉.农业劳动力转移潜力耗尽了吗?[J].中国农村经济,2018(9):2-13.

[4] UKRAS.Agricultural robotics:the future of robotic agriculture[C].UKRAS Network White Papers,2018.

[5] LELE U,GOSWAMI S.The fourth industrial revolution,agricultural and rural innovation,and implications for public policy and investments:a case of India[J].Agricultural economics,2017,48(S1):87-100.

[6] FREY C B,OSBORNE M A.The future of employment:how susceptible are jobs to computerization[J].Technological forecasting and social change,2017(114):254-280.

[7] 王林辉,胡晟明,董直庆.人工智能技术会诱致劳动收入不平等吗——模型推演与分类评估[J].中国工业经济,2020(4):97-115.

[8] ACEMOGLU D,RESPTREPO P.Artificial intelligence,automation and work[C].NBER working paper,No.24196,2018.

[9] CHENG H,JIA R,LI D,LI H.The rise of robots in China[J].Journal of economic perspectives,2019,33 (2):71-88.

[10] AUTOR D H,DRON D.The growth of low-skill service jobs and the polarization of the U.S. labor market[J].American economic review,2013,103(5):1553-1597.

[11] ACEMOGLU D,RESPTREPO P.Robots and jobs:evidence from US labor markets[J].Journal of political economy,2020,128(6):2188-2244.

[12] 陈彦斌,林晨,陈小亮.人工智能、老龄化与经济增长[J].经济研究,2019(7):47-63.

[13] DAUGHERTY P,WILSON J.Human+Machine:reimagining work in the age of AI[M].Boston,MA:Harvard Business Review Press,2018.

[14] 郭凯明.人工智能发展、产业结构转型升级与劳动收入份额变动[J].管理世界,2019(7):60-77,200.

[15] ROMER P.Endogenous technological change[J].Journal of political economy,1990,98(5):71-102.

[16] TOMBE T.The missing food problem:trade,agriculture,and international productivity differences[J].American economic journal:macro economics,2015,7(3):226-258.

[17] AGRAWAL A,GANS J S,GOLDFARB A.Artificial intelligence:the ambiguous labor market impact of automating prediction[J].Journal of economic perspectives,2019,33(2):31-50.

[18] CERVELLATI M,SUNDE U.Life expectancy,schooling,and lifetime labor supply:theory and evidence revisited[J].Econometrica,2013,81(5):2055-2086.

[19] HERRENDORF B,HERRINGTON C,VALENTINYI A.Sectoral technology and structural transformation[J].American economic journal:macro economics,2015,7(4):104-133.

[20] CORREIA S.A feasible estimator for linear models with multi-way fixed effects[C].Working paper of Duke University,2016.

[21] NGAI L R,PISSARIDES C A.Structural change in a multisector model of growth[J].American economic review,2007,97(1):429-443.

[22] 杨伟国,邱子童,吴清军.人工智能应用的就业效应研究综述[J].中国人口科学,2018(5):109-119,128.

[23] ATHEY S C,BRYAN K A,GANS J S.The allocation of decision authority to human and artificial intelligence[J].AEA:papers and proceedings,2020(110):80-84.

[24] MATSUYAMA K.Engel’s law in the global economy:demand-induced patterns of structural change,innovation,and trade[J].Econometrica,2019,87(2):497-528.

中图分类号:F 313

文献标识码:A

文章编号:1008-3456(2021)05-0158-10

DOI编码:10.13300/j.cnki.hnwkxb.2021.05.017

收稿日期:2021-03-28

基金项目:国家自然科学基金青年项目“中国的农业机械化模式及其对农户收入增长与差距的影响研究”(72003089);2020年度全国统计科学研究一般项目“机器人应用与工业转型升级匹配效应的统计分析与对策研究”(2020LY078)。

*为通讯作者

(责任编辑:陈万红)