农村基础设施PPP项目风险分担的博弈研究

敖 慧,朱玉洁

(武汉理工大学 管理学院,湖北 武汉 430070)

摘 要 引入静态博弈理论,建立基于多方共赢的农村基础设施PPP项目共担风险与单方承担风险分析模型,确定农村基础设施PPP项目初步风险分担方案;基于动态博弈理论,建立农村基础设施PPP项目共担风险最优分担比例决策模型,求得模型的最优纳什均衡解,确定共担风险最优分担比例。结果表明:农村基础设施PPP项目风险分担的静态博弈中,参与主体的风险偏好与风险控制能力决定了风险的初步分担方案;而在私营方优先出价的农村基础设施PPP项目共担风险分担的动态博弈中,谈判损耗系数的大小、双方地位不平等及信息不对称的程度直接影响共担风险最优分担比例的大小。

关键词 农村基础设施; PPP项目; 风险分担; 静态博弈; 动态博弈

2017年初政府与社会资本合作(public-private-partnership,PPP)作为供给侧改革的重要内容首次引入中央一号文件;2018年《乡村振兴战略规划(2018-2022年)》倡导合理引入社会资本,推进农村基础设施建设,将PPP模式作为实现乡村振兴战略的重要途径;PPP模式可以解决当前农村基础设施管理低效、资金和技术短缺的问题,为新时代“三农”目标的实现奠定基础[1];而政策环境的支持、农村基础设施需求巨大以及城市基础设施PPP项目的成功经验都为PPP 模式在农村基础设施建设领域的实践提供了广阔市场[2]。随着PPP模式的发展及理论研究的日趋深入,项目风险在项目参与方之间的合理分担不仅成为PPP模式的主要功能之一,更凸显其在PPP项目成功实施中的极端重要性和困难性[3-4]。有别于城市基础设施PPP项目,农村基础设施PPP项目基础薄弱、经营性较弱、周期较长,项目的资金需求量相对较大而资金来源渠道较少,存在更高的风险[5]。因此,风险的合理分担对农村基础设施PPP项目而言更为关键与艰巨。

学术界对于PPP项目风险分担的研究主要分为两个层次:一是风险分担方案的确定,即确定某一风险的归属,由公共部门承担、私营方承担或双方共担;二是共担风险分担比例的确定。目前,对于风险分担方案的建立,采用的方法主要有类比、统计分析、风险分配矩阵与数学模型,其中数学模型的构建主要基于博弈论与模糊数学方法。Li等通过问卷调查及对所获取数据的统计分析,构建英国PPP项目风险分配矩阵,从而确定PPP项目风险分担方案[3];Medda 利用博弈论方法研究交通运输业PPP项目参与方的最优风险分担策略[6];对于共担风险分担比例的研究,主要基于博弈论、拉格朗日函数等方法构建数学模型。范小军等利用拉格朗日函数确定公私双方共担风险的分担比例[7];李林考虑PPP项目参与方地位的不平等性,构建不同条件下公私部门的博弈模型[8]

采用博弈论方法研究PPP项目风险分担在一定程度上得到了理论界的认可[9]。但大多数研究往往忽视PPP项目各参与方之间的风险分担博弈过程,强调风险分担的结果分析。本文以农村基础设施PPP项目风险因素的分析为基础,引入博弈理论与方法,分析公共部门与私营方之间的静态与动态博弈过程,建立农村基础设施PPP项目风险分担方案和共担风险分担比率决策模型,并分别确定模型的最优解。

一、农村基础设施PPP项目风险因素分析

出于不同目的,PPP项目风险因素有多种分类方法。比较有代表性的是Hastak等[10]以及Li等[3]的风险分类方法,在研究了每种风险对其他风险所产生的影响和作用基础上,Hastak等将工程项目中可能出现的风险划分为国家、市场和项目三个层次。国家层次的风险主要指政治和宏观经济的稳定性,市场层次的风险反映项目公司在当地市场的技术地位、市场资源的稀缺性和市场规则的复杂性等,项目层次的风险主要针对项目现场而言 [10];Li等对于PPP项目风险因素的分析则更多考虑项目系统的边界,从空间层级视角,将项目风险划分为宏观、中观与微观三个层级。其中宏观层风险为外生风险,由外生变量引起;中观与微观层风险为内生风险,中观层风险与项目本身有关,微观层风险反映项目参与方之间的关系[3]。两种分类方法有共同之处,亦各有千秋。前者较好地描述了每一种风险对其他风险的影响作用,从而更好地确定针对每种风险所应采取的风险管理措施的优先顺序,后者则更多关注风险的边界与可控性,能够使项目参与方有针对性地应对风险。

农村基础设施PPP项目公益性较强,经营性偏弱,农村地区各项收入偏低,未来现金流入的不确定性较大,项目面临较大的市场和收益风险;农村基础设施建设环境较为复杂,配套设施不完善,因而协调面广、工程量大,导致项目设计、建设环节面临诸多不确定性;农村金融的欠发达也给项目的融资环节增添了压力。得益于政府对PPP模式应用于农村基础设施建设的大力支持及其吸引私营方参与项目的迫切性,项目参与方之间的合作关系进一步改善,责权利分配不当的现象有所缓解,项目本身的执行过程成为各参与方关注的重点。

考虑农村基础设施PPP项目的特点及农村社会经济发展情况,基于风险因素对项目系统的影响及风险可控程度,综合学术界普遍认可的Hastak等[10]、Li等[3]对PPP项目风险因素的分析,将农村基础设施PPP项目风险因素区分为宏观层、中观层和微观层风险因素。宏观层风险反映农村基础设施 PPP项目宏观环境的不确定性,属于系统性风险。宏观层风险主要包括政治、经济、法律、自然环境四大类风险。政治风险主要指农村政策和当地政府的政策行为引起的风险事件;经济风险主要是指宏观经济形势不利、通货膨胀及融资条件恶化引起的风险事件;法律风险反映项目合同的规范性及法律法规或相关政策的变化对项目的建设、运营带来负面影响的可能性;自然环境风险主要指项目现场气候、地质条件和不可抗力引起的风险事件。中观层风险从行业和市场角度反映农村基础设施PPP项目所处市场环境中产品资源、规则和政策的不确定性,同时亦反映项目公司在当地市场的技术优势与劣势,包括市场风险与收益风险。市场风险指农村基础设施的市场需求、原材料市场的变化所引发的风险事件;收益风险指导致农村基础设施使用收入不足的各类风险事件。微观层风险从项目本身的微观角度反映农村基础设施PPP项目内生变量所引发的风险事件,反映项目具体执行过程中的不确定性,即融资风险、设计风险、建设风险和运营风险。融资风险主要指项目融资方案实施过程中出现融资成本较高、资金不能如期到位的可能性;设计风险是指出现设计质量低下、设计变更以及设计标准不达标的可能性;建设风险指项目施工建设过程中的各种不确定因素导致建设成本超支、出现施工质量和安全问题、项目延期甚至无法完工的可能性;运营风险是指项目运营中,项目的经营管理、安全管理和环境保护等方面出现问题的可能性。

二、农村基础设施PPP项目初步风险分担的静态博弈分析

初步风险分担主要是确定风险因素的初步归属。直接归属于某参与方的风险称为单方承担风险,这类风险因素经过初步风险分担即可确定其归属;其余为共担风险,需要经过后续共担风险分担比率确定其归属。通过构建与求解农村基础设施PPP项目参与方静态博弈模型,将风险因素划分为单方承担风险与共担风险,认定单方承担风险的归属,确定初步风险分担方案。

1.静态博弈模型基本假设

PPP项目参与方对风险的分担将带来一定的风险收益与风险成本,风险收益高于风险成本是PPP项目参与方分担风险的动力所在。参与方对某种风险的偏好取决于其对该风险的控制能力,控制力越强,偏好程度越大,风险收益与风险程度正相关。静态博弈模型的假设如下:

假设1:各参与方合作意愿强烈,并以项目整体满意度最大化为目标;

假设2:参与方均以风险规避者的态度对待期望收益;

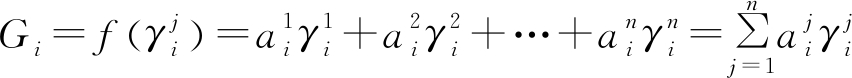
假设3:以表示参与方i承担的j风险,以分别表示参与方i承担j风险的风险收益、风险成本,均与线性相关。以分别表示参与方ij风险的收益权重、成本权重,则参与方i的风险收益和风险成本可以表示为:

(1)

(2)

2. 静态博弈模型构建与求解

农村基础设施PPP项目的参与方为公共部门与私营方。公共部门可以是政府机构或其指定的机构或公司,重点关注的是项目的社会效益,旨在服务“三农”,提供高质量低成本的农村基础设施,减少基础设施的缺乏所带来的经济损失,同时创造就业等。作为农村基础设施PPP项目的发起人,公共部门既是项目的监督者,也是项目的参与者,为项目的顺利运行提供法律规制与决策支持、环境保障与资金支持以及政府保证与政府信用;私营方代表公共部门以外的各参与方,包括为项目提供资金的投资机构、商业银行和项目建设方、运营方等。作为项目的承办方,私营方的目标不仅在于提供资金、先进技术与圆满的运营服务支持,使项目顺利完工,达到技术、绩效标准,更在于实现对项目投资收益的要求。因此,公私双方存在典型的异质性,即双方利益目标与资源优势不同,所掌握的信息与在项目中的地位是不对称的。

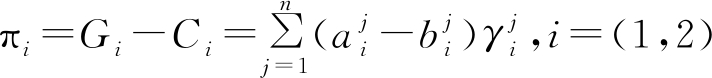
农村基础设施PPP项目风险分担方的异质性使得双方对某单一风险的偏好程度存在差异,这为单方承担风险的划分奠定了基础。初步风险分担静态博弈的实质在于寻找到一个均衡点:公私双方满意度最大且风险净收益为正。由模型基本假设可得参与方i的风险净收益为:

(3)

式中i=1 表示私营方,i=2表示公共部门。

则:

(4)

即为风险偏好系数。表示私营方对j风险的风险偏好系数,表示公共部门对j风险的风险偏好系数。

表1 风险分担静态博弈模型

私营方公共部门承担不承担承担(μj1γj1,μj2γj2)(μj1γj1,0)不承担(0,μj2γj2)(0,0)

分析二者对j风险的风险偏好系数,即可得到风险分担的静态博弈模型,如表1所示。

由模型可知,静态博弈的纳什均衡结果有以下两种情况:

(1)当时,纳什均衡结果为(承担,承担),即双方均偏好风险j;当时,纳什均衡结果为(不承担,不承担),双方均厌恶风险j。此时风险j为共担风险。

(2)当时,纳什均衡结果为(承担,不承担),私营方(i=1)承担风险j的净收益大于0,表现为偏好风险j;公共部门(i=2)承担风险j的净收益小于0,表现为厌恶风险j,此时风险j将由私营方承担;当时,纳什均衡结果为(不承担,承担),同理,风险j将由公共部门承担。

3.基于静态博弈的初步风险分担方案

通过发放调查问卷的方式了解农村基础设施PPP项目公共部门与私营方对各个风险因素的偏好。发放对象为相关县域政府部门、农业银行、证券公司和基础设施建筑企业工作人员,以及PPP项目和“三农”研究领域专家。发放问卷50份,回收45份。将风险偏好分成5个等级,即可以为{-1,-0.5,0,0.5,1},分别表示非常厌恶风险,厌恶风险,既不喜欢也不厌恶,喜欢风险,非常喜欢风险。取问卷对象打分的众数为公私双方对于各风险因素的最终风险偏好系数,如表2所示。利用前述模型求解结果,通过分析比较确定农村基础设施PPP项目初步风险分担方案,如表3所示。

表2 公私双方对于各风险因素的风险偏好系数

风险因素风险偏好系数私营方公共部门风险因素风险偏好系数私营方公共部门地方政府失信μ11=-1μ12=1政府对利润和收费价格限制μ191=-0.5μ192=1农村政策变更μ21=-1μ22=1农民可支配收入变化μ201=-0.5μ202=0.5项目审批延误μ31=-1μ32=1农村居民观念变化μ211=-1μ212=-0.5通货膨胀μ41=0.5μ42=1融资可行性μ221=-0.5μ222=-0.5利率μ51=0.5μ52=0.5资金延期到位μ231=0.5μ232=-0.5外汇兑换μ61=-1μ62=-0.5融资成本增加风险μ241=1μ242=-0.5法律变更μ71=-0.5μ72=1设计质量μ251=0.5μ252=-1税率提高μ81=-1μ82=0.5设计变更μ261=1μ262=-0.5设施抵押权、出租权μ91=0.5μ92=0.5设计标准未通过μ271=0.5μ272=-1合同规范性μ101=0.5μ102=-0.5施工质量μ281=0.5μ282=-1不可抗力μ111=-1μ112=-1施工安全风险μ291=1μ292=-1农村气候μ121=-1μ122=-0.5成本超支μ301=0.5μ302=-0.5农村地质条件μ131=0.5μ132=-1完工风险μ311=1μ312=-1农村市场需求变化μ141=0.5μ142=0.5考古或历史文物保护μ321=-0.5μ322=0.5偷窃行为μ151=-1μ152=1运营商能力缺陷μ331=0.5μ332=-0.5产品输送中断μ161=-0.5μ162=0.5劳资争端μ341=-0.5μ342=-1原材料价格变化μ171=-1μ172=0.5环境破坏(潜在、现行、持续)μ351=-0.5μ352=-1收费或收入不足μ181=-0.5μ182=-0.5运营安全μ361=1μ362=-1

表3 农村基础设施PPP项目初步风险分担方案

风险层级风险类型风险因素私营方承担共担风险公共部门承担宏观层风险政治风险地方政府失信√农村政策变更√项目审批延误√经济风险通货膨胀√利率√外汇兑换√法律变更√法律风险税率提高√设施抵押权、出租权√合同规范性√自然风险不可抗力√农村气候√农村地质条件√中观层风险市场风险项目市场需求变化√偷窃行为√产品输送中断√原材料价格变化√收益风险收费或收入不足√政府对利润和收费价格限制√农民可支配收入变化√农村居民观念变化√

续表

风险层级风险类型风险因素私营方承担共担风险公共部门承担微观层风险融资风险融资可行性√资金延期到位√融资成本增加√设计风险设计质量√设计变更√设计标准未通过√建设风险施工质量√施工安全风险√成本超支√完工风险√考古和历史文物保护√运营风险运营商能力缺陷√劳资争端√环境破坏(潜在、现行、持续)√运营安全√

三、农村基础设施PPP项目共担风险最优分担比例的动态博弈分析

共担风险最优分担比例是指公私双方基于自身风险与收益,立足于双方利益最大化而达成的风险分配均衡点。共担风险最优分担比例的建立与合理风险分担机制的引入,对于吸引私营方参与项目缺一不可[11]。合理的风险分担方案将避免私营方过度追求自身利益最大化而损害社会公众利益,也可以约束公共部门为了降低自身承担风险而迫使私营方分担更多风险,进而增加项目成功几率,实现项目参与方的共赢。共担风险的分配过程实则是公私双方依靠各自所掌握的信息,就双方利益与风险进行反复磋商谈判,最终得到双方满意结果的过程。这一过程即是针对项目风险分配的讨价还价博弈过程,风险分配均衡点就是双方满意的结果,即纳什均衡解。

1.不完全信息讨价还价博弈分析

不完全信息博弈是指每个博弈者只能有限获取对手的信息。PPP项目谈判过程中,信息优势方将更具谈判主动权,获得更多的谈判利益。农村基础设施PPP项目的参与方中,公共部门和私营方各具资源和技术优势,利益目标不同,双方存在信息不对称。公私双方谈判过程中,策略决定有先后之分,后决者可参照先决者的方案选择自己的风险承担方案,这是一个动态博弈的过程,符合鲁宾斯坦讨价还价模型,即为不完全信息讨价还价动态博弈过程。

在上述博弈过程中,公共部门是政策法律的制定者,同时掌握公权力与威慑力,在博弈过程中为信息优势方;而私营方则处于信息劣势,谈判过程中资源的损耗将高于公共部门[12]

(1)私营方优先出价的公私双方讨价还价动态博弈过程。与城市基础设施PPP项目不同,农村基础设施PPP项目经营性较弱,周期较长,利润低而风险高。风险与收益的矛盾,严重削弱了私营方的参与热情[5]。而在公私双方讨价还价博弈过程中,公共部门已经占据了信息优势,为了提高私营方的参与热情,公共部门除必要的优惠政策外,还需要在博弈过程中给私营方创造一丝先机。

在讨价还价博弈过程中,博弈双方的耐心程度对于评价先出价和后出价的利弊有着重要作用。当双方都没有足够耐心时,先出价更为有利,而当双方都有足够耐心时,后出价较为有利[13]。显然,出价双方都具备足够耐心是一种理想状态,现实中的PPP项目谈判需要付出时间成本,双方不可能有足够耐心。因此,农村基础设施PPP项目风险分担博弈过程只存在先动优势,即先出价方占据博弈优势。有别于城市基础设施PPP项目风险分担的博弈过程,为了鼓励私营方参与农村基础设施PPP项目,公共部门需要在博弈过程,将先动优势给予私营方,作为后出价方选择接受或拒绝私营方的出价。因为公私双方承担风险的能力及可承担风险份额的上限不同,最终的共担风险分担比例的确定将面临多轮反复的接受/拒绝谈判过程,最终达成一致。共担风险分担比例的谈判过程如图1所示。

图1 私营方优先出价的公私双方共担风险讨价还价博弈过程

(2)不完全信息下的海萨尼转换。海萨尼转换是指通过引入一个“局中人”,将“不完全信息博弈”转换成“完全但不完美信息博弈”,从而实现对不完全信息博弈的定量分析。“完全信息”是指博弈者采取的策略数据库相同,并且双方都熟悉数据库中的各种策略;“不完美信息”是指“局中人”做出了策略选择,而其他参与人不知道他的具体选择,仅知道各种选择的概率分布。

海萨尼转换的运作:引入一个先出价的“局中人”,选择其他人知晓概率分布的策略,因为策略众多,选择策略是概率事件,所以“局中人”的决策过程是动态的;在“局中人”完成策略选择后,其他人针对该策略选择应对策略,这些决策相对而言是静态博弈。动态结合静态依然是动态。因此,经过海萨尼转换的不完全信息讨价还价博弈依然是动态博弈[14]

(3)讨价还价动态博弈均衡解的存在性与唯一性。纳什均衡的存在性定理Ⅰ、定理Ⅱ与定理Ⅲ,认为任何有限博弈都存在至少一个纳什均衡,当参与人有无限个纯战略时,只要支付函数在纯战略上是连续的,就存在纳什均衡[15]。农村基础设施PPP项目共担风险的风险分担谈判过程中,公私双方均有合作诚意,期望项目谈判进展顺利;公私双方均存在谈判时间成本,都希望尽快达成一致,确定双方满意的风险分担方案。当讨价还价博弈存在数个纳什均衡解时,必然有一个解使双方利益实现最大化,这个解就是最优风险分担比例。

2.共担风险分担比例动态博弈模型的构建

(1)模型假设:

假设1:公私双方均为理性经济人,期望通过参与农村基础设施PPP项目实现各自利益的最大化而非整体利益最大化;均希望谈判顺利进行且尽快达成一致,谈判过程中均采取最佳策略;

假设2:公私双方存在信息不对称。讨价还价博弈中,一方无法准确了解另一方掌握的风险信息与承担风险的能力;

假设3:各共担风险相对独立,即风险因素间不具备关联性;

假设4:对于某项风险,第i轮谈判中私营方的风险分担比例为 ri,则公共部门为(1-ri),即公共部门针对ri进行讨价还价;

假设5:博弈过程中,私营方优先提出自己愿意承担的共担风险分担比例。

(2)模型参数讨论。①谈判损耗系数 αi。PPP项目风险分担谈判过程中,为了更多地了解对手,公私双方都需要消耗资源和时间获取相关信息,这必然产生谈判成本。谈判时间越长,回合越多,双方谈判成本越大,项目风险加大,收益降低。谈判损耗系数取决于博弈参与方的谈判能力、机会成本、交易成本和耐心程度等因素。在农村基础设施PPP项目中,作为项目主导方的公共部门具备信息优势和更多的耐心,其谈判成本较低;私营方的逐利性和信息劣势使得其在谈判中的耐心程度低于公共部门。假设 α1表示私营方的谈判损耗系数,α2表示公共部门的谈判损耗系数,则有α1>α2,即当谈判拖延到下一轮时,与上一轮相比,私营方会增加更多的谈判成本,其承担的风险将大于私营方。②公共部门转移风险的概率q。基于公共部门在农村基础设施PPP项目中的主导地位,可能出现向私营方转移某种风险因素的可能性。信息不对称的存在使得私营方不清楚对方是否会转移风险,但清楚公共部门转移风险的主观概率分布。假定公共部门转移风险的概率为q,(1-q)即为不转移风险的概率。③风险转移份额 ki。公共部门的强势地位直接体现在其向私营方转移风险的大小,以风险转移份额表示。在农村基础设施PPP项目中,为了吸引私营方的加入,公共部门风险转移份额将不会太高。显然,公共部门的风险转移份额将小于其承担的风险比例,即 ki<(1-ri)。

(3)博弈模型。第1轮谈判,私营方先提出针对某风险因素的分担比例r1,则公共部门为(1-r1);若考虑公共部门转移风险份额k1,则私营方分担风险增加k1、公共部门减少k1的概率为q。假设以PiGi分别表示在公共部门转移风险时,私营方与公共部门在第i轮谈判中对某共担风险的风险分担比例,以PiGi分别表示私营方与公共部门在第i轮谈判中的风险期望。则有:

P1=q(r1+k1)

(5)

G1=q(1-r1-k1)

(6)

PiGi分别表示在公共部门不转移风险时,私营方与公共部门在第i轮谈判中对某共担风险的风险分担比例,则有:

(7)

(8)

由式(5)~(8)可知,第1轮的谈判中参与方的风险期望为:

(9)

(10)

若公共部门接受第1轮谈判结果,谈判结束;反之,进入第2轮谈判。

第2轮谈判中,公共部门先提出私营方的风险分担比例为 r2,则公共部门为(1-r2),公共部门以概率q转移风险份额 k2。根据前面的分析,进入第2轮谈判,需要考虑谈判损耗系数 αi。则有:

P2=α1q(r2+k2)

(11)

G2=α2q(1-r2-k2)

(12)

P2=α1(1-q)r2

(13)

G2=α2(1-q)(1-r2)

(14)

由式(11)~(14)可知,第2轮谈判中,私营方与公共部门的风险期望分别是:

P2=P2+P2=α1q(r2+k2)+α1(1-q)r2

(15)

G2=G2+G2=α2q(1-r2-k2)+α2(1-q)(1-r2)

(16)

若公共部门接受第2轮谈判结果,谈判结束;否则,进入第3轮谈判。

第3轮谈判中,私营方提出风险分担比例 r3,则公共部门为(1-r3),公共部门以概率q向私营方转移风险份额 k3。则有:

P3=q(r3+k3)

(17)

G3=α22q(1-r3-k3)

(18)

P3=(1-q)r3

(19)

G3=α22(1-q)(1-r3)

(20)

同理可得第3轮的风险期望为:

P3=P3+P3=q(r3+k3)+(1-q)r3

(21)

G3=G3+G3=α22q(1-r3-k3)+α22(1-q)(1-r3)

(22)

以上谈判过程循环往复,直到达成一致。

(4)模型求解。基于海萨尼转换理论,结合前述博弈过程的分析,自奇数轮谈判开始的结果是无差别的,因为出价方均为私营方,这里选择第3轮谈判作为逆推点求解模型。假设在第2轮谈判,公共部门的出价导致私营方的风险期望P2>P3,则私营方拒绝,博弈进入第三阶段。而基于理性经济人假设,双方将尽可能避免进入第3轮谈判,所以公共部门将避免P2>P3的出现,并使自己的风险期望G2最小。因此,此时博弈的最优策略是:

P2=P3

(23)

将式(15)和式(21)代入式(23)可得:

α1q(r2+k2)+α1(1-q)r2=q(r3+k3)+(1-q)r3

从而得:

r2=α1r3-qk2+α1qk3

(24)

此时公共部门的风险分担情况如下:

G2=α2(1-α1r3-α1qk3)

(25)

G3=(1-qk3-r3)
G2-G3=α2[(1-α2)+(α2-α1)(r3+qk3)

(26)

因为α1>α2>1,r>0,q>0,所以可得G2-G3<0,即有G2<G3,公共部门在第2轮谈判中风险期望小于第3轮,显然公共部门将拒绝谈判延至第3轮。

同理,若逆推至第1轮,私营方提出风险分担比例r1,参与方的最优策略为:

G1=G2

(27)

将式(10)和式(16)代入式(27)可得:

q(1-r1-k1)+(1-q)(1-r1)=α2q(1-r2-k2)+α2(1-q)(1-r2)

r1=1-qk1-α2(1-r2-qk2)

(28)

将式(24)代入式(28)可得:

r1=1-qk1-α2(1-α1r3-α1qk3)

(29)

已知从奇数轮开始的无限期博弈,其讨价还价结构没有差异[16]。则有:

r1=r3

(30)

将式(29)代入式(30)得:

1-qk1-α2(1-α1r3-α1qk3)=r3

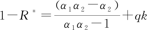
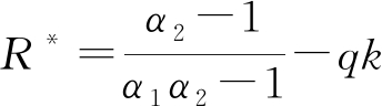
私营方承担的风险比例:

R=(α2+qk1-α1α2qk3-1)/(α1α2-1)

(31)

公共部门承担的风险比例:

1-R=(α1α2-α2-qk1+α1α2qk3)/(α1α2-1)

(32)

k为常数,可得均衡解为:

(33)

(34)

若公共部门向私营方转移风险,则私营方风险分担比例为(α2-1)/(α1α2-1),公共部门风险分担比例为(α1α2-α2)/(α1α2-1)。

(5)模型分析。①谈判损耗系数直接影响风险分担的结果。如果参与方的谈判成本降低,则双方的谈判损耗系数都降低,私营方因为基数较高,谈判损耗系数降低的绝对数更大,即Δα1α2;若不考虑风险转移,谈判损耗系数的降低将使每一轮博弈的整体风险降低,继而增加项目整体效益。尽管私营方因此分担的风险增加相对略大于公共部门,但其从项目整体效益增加中将获得更多增量效用;失去先动优势的公共部门在谈判过程应该为降低谈判损耗系数多做贡献,因为从中获得的效用是大于私营方的;②公私双方的地位不平等及信息不对称影响风险分担结果。处于谈判弱势的私营方应尽可能多获取相关信息降低负面影响,公共部门则应该适当弱化自身的优势,采取有效措施提高私营方参与项目的积极性,提高农村基础设施PPP项目对私营方的吸引力,尽力杜绝向私营方转移风险,达成真正平等合作的伙伴关系。

四、结论与建议

对农村基础设施PPP项目参与方的静态博弈分析表明,在初步风险分担过程中,单方承担风险和共担风险的划分主要取决于公共部门与私营方的风险偏好与风险控制能力;在农村基础设施PPP项目共担风险分担的讨价还价动态博弈过程中,私营方优先出价的安排在一定程度上提高了私营方的参与积极性,公私双方谈判损耗系数大小、双方地位不平等及信息不对称的程度决定了共担风险最优分担比率的大小。

基于此,本文提出如下建议:(1)完善PPP项目的法律环境,减小博弈过程的机会成本与交易成本,降低谈判损耗系数以实现共赢。(2)公共部门应创造公平有序的合作氛围,同时积极提升自身信用,杜绝向私营方转移风险的动机,提高私营方参与农村基础设施PPP项目对社会资本的积极性。(3)私营方应理解公共部门发起农村基础设施PPP项目的目标与使命,积极通过多方渠道与方式实现与公共部门的有效沟通,减少信息不对称的程度,降低自身在博弈中的谈判成本。(4)可以考虑引进第三方机构对PPP项目风险评估与分担提供咨询服务,同时建立风险分担再谈判柔性机制[17],保证风险分担的合理性与科学性。

参 考 文 献

[1] 王春福.农村基础设施治理PPP模式研究[J].农业经济问题,2008(6):64-67.

[2] 肖海翔.“公私部门伙伴关系”模式:新农村基础设施供给的新选择[J].财经理论与实践,2007(2):19-22.

[3] LI B,AKINTOYE A,EDWARDS P J,et al. The allocation of risk in PPP/PFI construction projects in the UK[J].International journal of project management,2005,23(1):25-35.

[4] 何涛.基于PPP模式的交通基础设施风险分担合理化研究[D].天津:天津大学,2011.

[5] 张学昌.农业基础设施投资的PPP模式:问题、框架与路径[J].农村经济,2016(9):98-103.

[6] MEDDA F.A game theory approach for the allocation of risks in transport public private partnerships [J]. International journal of project management,2007,25(3):213-218.

[7] 范小军,赵一,钟根元.基础项目融资风险的分担比例研究[J].管理工程学报,2007,21(1):98-101.

[8] 李林.参与方地位非对称条件下PPP项目风险分配的博弈模型[J].系统工程理论与实践,2013(8):1940-1948.

[9] 林洪波,李峰.PPP项目风险分担的博弈分析框架研究[J]. 学术前沿,2019(1):100-103.

[10] HASTAK M,SHAKED A. ICRAM-1:Model for international construction risk assessment[J]. Journal of management in engineering,2000,16(1):59-69.

[11] 周正祥,张秀芳,张平.新常态下PPP模式应用存在的问题及对策[J].中国软科学,2015(9):82-95.

[12] DUTZ M,HARRIS C,DHINGRA I,et al. Public-private partnership units:what are they and what do they do? Public policy for the private sector [M]. Washington DC:World Bank,2006.

[13] WHALEN E L. A rationalization of the precautionary demand for cash [J]. Quarterly journal of economics,1966,80(2):314-324.

[14] HARSANYI J C. Games with incomplete information played by “bayesian” players,I-III Part I. the basic model [J].Management science,1967,14(3):159-182.

[15] 张维迎.博弈论与信息经济学[M].上海:上海三联书店上海人民出版社,1996.

[16] 谢识予.经济博弈论[M].上海:复旦大学出版社,2002.

[17] PLAMBECK E L,TAYLOR T A. Implications of renegotiation for optimal contract flexibility and investment [J].Management science,2007,53(12):1872-1886.

中图分类号:F 284

文献标识码:A

文章编号:1008-3456(2021)02-0111-09

DOI编码:10.13300/j.cnki.hnwkxb.2021.02.013

收稿日期:2020-06-08

基金项目:教育部人文社科规划基金项目“供给侧改革下农村基础设施PPP项目风险分担研究”(17YJA790002)。

(责任编辑:金会平)